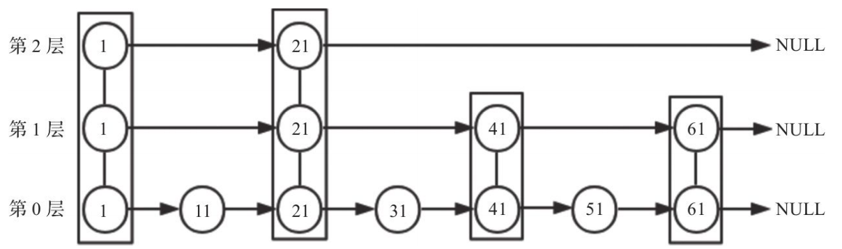
跳跃表将有序链表中的部分节点分层,每一层都是一个有序链表。在查找时优先从最高层开始向后查找,当到达某节点时,如果next节点值大于要查找的值或next指针指向NULL,则从当前节点下降一层继续向后查找,这样可以有效提升效率。如下图所示使用跳表查找51的路径为1->21->41->51需要查找4次。如果使用链表查找路径为1->11->21->31->41->51需要查找6次,效率明显提升了,当数据量较大是提升更为明显。

跳跃表的实现过程下图所示:

跳跃表每个节点维护了多个指向其他节点的指针,所以在跳跃表进行查找、插入、删除操作时可以跳过一些节点,快速找到操作需要的节点。归根结底,跳跃表是以牺牲空间的形式来达到快速查找的目的。
跳跃表由多个节点构成,每个节点由很多层构成,每层都有指向本层下个节点的指针,接下来讲述跳跃表的数据结构。
下面我们来看跳跃表节点的zskiplistNode结构体:
typedef struct zskiplistNode {
sds ele;
double score;
struct zskiplistNode *backward;
struct zskiplistLevel {
struct zskiplistNode *forward;
unsigned long span;
} level[];
} zskiplistNode;跳跃表是Redis有序集合的底层实现方式之一,所以每个节点的ele存储有序集合的成员member值,score存储成员score值。所有节点的分值是按从小到大的方式排序的,当有序集合的成员分值相同时,节点会按member的字典序进行排序。
除了跳跃表节点外,还需要一个跳跃表结构来管理节点,Redis使用zskiplist结构体,定义如下:
typedef struct zskiplist {
struct zskiplistNode *header, *tail;
unsigned long length;
int level;
} zskiplist;通过跳跃表结构体的属性我们可以看到,程序可以在O(1)的时间复杂度下,快速获取到跳跃表的头节点、尾节点、长度和高度。
节点层高的最小值为1,最大值是ZSKIPLIST_MAXLEVEL,Redis 5节点层高的值为64。Redis 6、Redis 7版本节点最高层数为32。官方设计的skiplist最大可以容纳2^64个元素,在函数zslRandomLevel中,ZSKIPLIST_P=0.25,则skiplist最大可以容纳4^64个元素,存在大量的空间浪费,所以将ZSKIPLIST_MAXLEVEL调整为32,减少资源浪费。具体原因可以阅读下面PR:https://github.com/redis/redis/pull/6818
#define ZSKIPLIST_MAXLEVEL 32 /* Should be enough for 2^64 elements */Redis通过函数zslRandomLevel函数随机生成一个1-32的值,作为新节点的高度。值越大出现的概率越低。节点层高确定之后便不会再修改。生成层高的函数实现如下:
#define ZSKIPLIST_P 0.25 /* Skiplist P = 1/4 */
int zslRandomLevel(void) {
/* 计算阈值 */
static const int threshold = ZSKIPLIST_P*RAND_MAX;
int level = 1;
/* 当随机数小于阈值时,level 继续增加 */
while (random() < threshold)
level += 1;
/* 返回 level,同时做不要让 level 大于最大层数的操作 */
return (level<ZSKIPLIST_MAXLEVEL) ? level : ZSKIPLIST_MAXLEVEL;
}上面代码中,level默认为1,通过while循环,当产生的随机数小于RAND_MAX的最大值的0.25倍时,level的值+1;否则退出循环,最后返回的level值在1-ZSKIPLIST_MAXLEVEL之间。由zslRandomLevel函数的实现可以得出下面结论:
跳跃表的每个节点都是由有序的元素集合。在初始化时,每个节点的层高、score、ele都已经确定,对于每个跳跃表节点我们都需要进行申请内存,进行初始化。初始化代码如下:
zskiplistNode *zslCreateNode(int level, double score, sds ele) {
zskiplistNode *zn =
zmalloc(sizeof(*zn)+level*sizeof(struct zskiplistLevel));
zn->score = score;
zn->ele = ele;
return zn;
}在创建节点的时候会申请大小为:zmalloc(sizeof(*zn)+level*sizeof(struct zskiplistLevel)) 大小的内存,用于存储数据。申请内存时需要指定zskiplistNode 柔性数组的大小,根据柔性数组的大小申请内存。
头节点时比较特殊的节点,头节点的backward指向NULL,初始化的时候,由于头节点为第一个节点,forward为NULL。span为0。初始化代码如下:
for (j = 0; j < ZSKIPLIST_MAXLEVEL; j++) {
zsl->header->level[j].forward = NULL;
zsl->header->level[j].span = 0;
}创建跳跃表的步骤如下:
zskiplist *zslCreate(void) {
int j;
zskiplist *zsl;
zsl = zmalloc(sizeof(*zsl));
zsl->level = 1;
zsl->length = 0;
zsl->header = zslCreateNode(ZSKIPLIST_MAXLEVEL,0,NULL);
/* 初始化每层跳表 */
for (j = 0; j < ZSKIPLIST_MAXLEVEL; j++) {
zsl->header->level[j].forward = NULL;
zsl->header->level[j].span = 0;
}
zsl->header->backward = NULL;
zsl->tail = NULL;
return zsl;
}插入节点是跳表最常见的操作,主要操作流程如下:查找插入位置;调整跳表高度;创建跳表节点,插入新节点;调整backward等;
查找是跳跃表最常见的操作,主要查找逻辑已经在基本操作里面讲了,主要代码实现如下:
/* 从最高层向下查找插入位置 */
for (i = zsl->level-1; i >= 0; i--) {
/* rank 存储到达插入位置而跨越的节点数 */
rank[i] = i == (zsl->level-1) ? 0 : rank[i+1];
while (x->level[i].forward &&
(x->level[i].forward->score < score ||
(x->level[i].forward->score == score &&
sdscmp(x->level[i].forward->ele,ele) < 0)))
{
rank[i] += x->level[i].span;存储到达插入位置而跨越的节点数
x = x->level[i].forward;
}
update[i] = x;
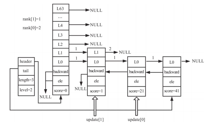
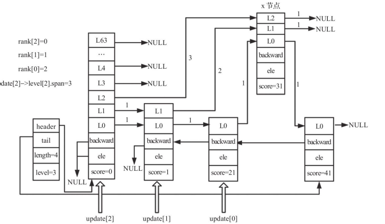
}为了找到要更新的节点,我们需要以下两个长度为64的数组来辅助:

如上图所示跳跃表:长度为3,高度为2。想要插入一个节点,分值为35,层高为3。查找过程如下: 更新后的rank和update如下:

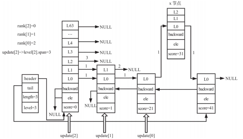
插入节点的高度是随机的,假设要插入节点的高度为3,大于跳跃表的高度2,所以我们需要调整跳跃表的高度。代码如下:
/* 获取随机最高层数 */
level = zslRandomLevel();
/* 随机获取的 level 比跳表原来的 level 大,则在比原来 level 高的层级上初始化 rank 和 update */
if (level > zsl->level) {
for (i = zsl->level; i < level; i++) {
rank[i] = 0;
update[i] = zsl->header;
update[i]->level[i].span = zsl->length;
}
/* 将跳表的 level(最高层数) 替换为随机获取到的 level */
zsl->level = level;
}调整高度后的跳跃表如下图所示:

当update和rank都赋值且节点已创建好后,便可以插入节点了。创建节点代码如下:
/* 创建一个具有指定层数的跳表节点, SDS字符串 'ele' 在调用后被节点引用 */
zskiplistNode *zslCreateNode(int level, double score, sds ele) {
zskiplistNode *zn = zmalloc(sizeof(*zn)+level*sizeof(struct zskiplistLevel));
zn->score = score;
zn->ele = ele;
return zn;
}插入节点的代码如下:
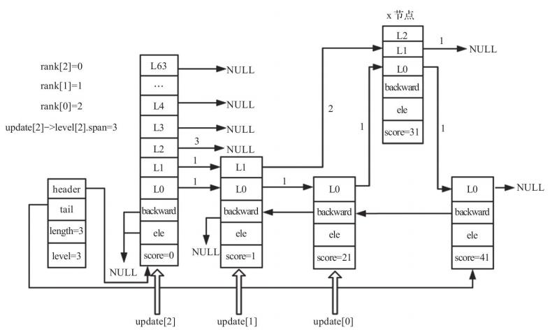
/* 插入新节点 */
for (i = 0; i < level; i++) {
x->level[i].forward = update[i]->level[i].forward;
update[i]->level[i].forward = x;
/* 更新 update[i] 所涵盖的跨度,因为有新节点(x)被插入了 */
/* 首先更新新节点的跨度 */
x->level[i].span = update[i]->level[i].span - (rank[0] - rank[i]);
/* 更新 update 的跨度 */
update[i]->level[i].span = (rank[0] - rank[i]) + 1;
}插入节点并更新第0层后的跳跃表如下所示:

插入节点并更新第1层后的跳跃表如下:

插入节点并更新第2层后的跳跃表如下:

调整插入节点与跳表最高层之间的跨度,代码如下:
/* 对未触及到的层数(插入节点的最高层与整个跳表中最高层之间)更新跨度 */
for (i = level; i < zsl->level; i++) {
update[i]->level[i].span++;
}跟新backward指针,代码如下:
x->backward = (update[0] == zsl->header) ? NULL : update[0];
/* 设置新节点的下一个节点的后向指针,若下一个节点不存在,则将尾指针指向新节点 */
if (x->level[0].forward)
x->level[0].forward->backward = x;
else
zsl->tail = x;跳表最终结果如下:

删除节点的步骤主要如下:
查找需要删除的节点参考查找插入位置章节。
更新span代码如下:
/* 更新 update[i] 的前向指针以及跨度 */
for (i = 0; i < zsl->level; i++) {
if (update[i]->level[i].forward == x) {
update[i]->level[i].span += x->level[i].span - 1;
update[i]->level[i].forward = x->level[i].forward;
} else {
update[i]->level[i].span -= 1;
}
}跟新forward代码如下:
/* 更新 x(被删除节点) 的下一个节点的后向指针,如果下一个节点不存在,则将尾指针指向 x 的上一个节点 */
if (x->level[0].forward) {
x->level[0].forward->backward = x->backward;
} else {
zsl->tail = x->backward;
}若被删除节点拥有最高的层数,则需要将跳表的最高层数下调至当前剩余节点中的最高层。
while(zsl->level > 1 && zsl->header->level[zsl->level-1].forward == NULL)
zsl->level--;
zsl->length--;设置span和forward后的跳跃表如下:

当删除跳跃表时,从头节点的第0层开始,通过forward指针逐步向后遍历,每遇到一个节点便将释放其内存。当所有节点的内存都被释放之后,释放跳跃表对象,即完成了跳跃表的删除操作,代码如下:
/* 释放整个跳表 */
void zslFree(zskiplist *zsl) {
zskiplistNode *node = zsl->header->level[0].forward, *next;
/* 释放头指针 */
zfree(zsl->header);
/* 遍历并释放剩下的所有节点 */
while(node) {
next = node->level[0].forward;
zslFreeNode(node);
node = next;
}
/* 释放跳表结构 */
zfree(zsl);
}释放指定的跳表节点。成员的引用 SDS字符串 也会被释放,除非在调用此函数之前将 node->ele 设置为 NULL,代码如下:
void zslFreeNode(zskiplistNode *node) {
sdsfree(node->ele);
zfree(node);
}跳跃表主要是zset底层实现的一种,zset中字典和布局如下所示:

有序集合经典使用场景。例如视频网站需要对用户上传的视频做排行榜,榜单维护可能是多方面:按照时间、按照播放量、按照获得的赞数等
skiplist相关的参数以及功能如下:
配置参数 | 默认值 | 备注 |
|---|---|---|
zset-max-listpack-entries | 128 | 当zset中的元素数目大于128的时候底层实现会使用qucklist |
zset-max-listpack-value | 64 | 当zset中value最大value超过64bit时,底层实现会使用qucklist |