本文对应的代码实现托管在 Github
词法分析的任务是把输入序列分割为词素单元.
在自然语言中, 以英语为例, 构成句子的最小单元,可以是单词、短语, 这些最小单元称作 词素(lexeme) . 词素具有属性, 比如动词、名词、副词、形容词等, 这些属性决定了语法层面, 其在句子里可充当的成分.
对于程序语言, 个人的感受是, 对词素并没有一个固定的边界定义, 如果词法分析阶段做的事少一点, 那么语法分析阶段做的事就要多一点, 考虑到语法分析要远比词法分析复杂, 所以后者应当为前者服务, 以尽可能减轻语法分析的复杂度. 因此,我一般先设计文法(也称语法), 在过程中考虑需要有哪些类型的词素.
这里我们先确定两种基本的词素:
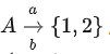
| ,? ,+ ,* , ( , ) 直觉上会想到用 char 表示词素, 在很多语言中, char 类型是 16 bit, 采用 UTF-16 编码 (比如 JAVA 和 C#), 对于占用 2 个 code unit 的 unicode 字符需要占用 2 个 char, 所以一个超过 0XFFFF 的 Unicode 字符会被分割为两个词素. 这对于单点匹配没有什么问题,但是,对于范围匹配如 [ - ] ,对应的 Unicode code point 范围是 [\u{1F600}-\u{1F64F}],不可能把边界 1F600 和 1F64F 分别拆成两个 char .
如果用 String 表示,可以满足功能实现,但是对象类型会造成较大的空间浪费.
如果用 int 表示,那么刚好 32 bit,可以直接存 Unicode code point,空间占用合理,也很方便程序统一处理.
由于我们采用基础类型 int 存储词素, 当读完时返回 null 是不行的. 好在, Unicode code point 的范围是 0x0000 0000 ~ 0x0010 FFFF , 所以可以采用一个超出该范围的特殊值表示 EOF.
在编码实现上, 一个经验指导是, 使用策略模式独立出不同类型的词素的分词逻辑, 以对象组合的方式组装出词法分析器. 一个词法分析器由多个分词策略组成, 这些分词策略具有不同的优先级, 可采用一个排序树的结构来存放.
词法分析是将词素序列转为抽象语法树(Abstract syntax tree)的过程
在自然语言, 比如英语中, 有5种基本句型:
我们选取其中一种句型作为例子, 我们可以说: "一个英语句子可以由主谓宾构成", 于是我们把这句话写作如下形式:
句子 -> 主语 + 及物动词 + 宾语接下来, 我们会问, 主语是什么? 答案可写作如下形式:
主语 -> 名词 | 名词性子句 | 动名词 | 不定式下一个问题, 及物动词是什么? 答案是, 其已经是最小单元, 不可被继续推导, 被称作 终结符(Terminal), 是一个词素.
宾语是什么? 答案是, 可充当主语的都可以充当宾语.
于是最后, 对于主谓宾句式, 我们可设计出如下文法(Grammar):
句子 -> 主语 + 及物动词 + 宾语
主语 -> 名词性成分
宾语 -> 名词性成分
名词性成分 -> 名词 | 名词性子句 | 动名词 | 不定式事实上,这个文法不完全, 因为还可以继续追问下去, "名词性子句是什么?", "动名词、不定式是什么?"...
你会发现, 设计英语文法的过程, 就是一个自顶向下推导的过程. 通过这个过程, 确定了所有的 非终结符(Non Terminal) 的组成, 也即确定了产生式(Production).
“非终结符”是指可以继续推导的符号, 比如上例中的 主语、宾语、名词性子句等, 这些可以继续追问它们的构成; 而与之对应, 终结符则是指不可继续推导, 即不可继续追问其构成的符号, 比如一个名词、形容词、副词, 这些已经是最小单元了, 推导到这里就可以终结了, 故称“终结符”.
在实践中, 设计文法既可以自顶向下, 也可反过来自底向上. 甚至可以不用演绎法, 而用归纳法.
在前面的词法分析中, 我们将词素(后称终结符) 分为了两类:
更进一步归纳:
*、? | & 表达这种隐式关系继续归纳:
*、? 、+、{m,n} |,& 观察以上3项,一个直觉上的规律是,后面的依次由前面的组成,于是得到如下文法:
primary_expr -> single_literal | '(' expr ')' //基本词素
unary_expr -> primary_expr | primary_expr '*' //一元表达式
binary_expr ->
unary_expr
|
unary_expr '|' binary_expr //或
|
unary_expr binary_expr // 与
expr -> binary_expr //正则表达式直觉通常可以帮助解决问题的大部分,但是有时还需要有一个纠错过程. 如上文法,没有体现出 And 表达式 与 Or 表达式的优先级,对于输入 ab|c 将生成错误的语法树:

为了让 Or 优先结合,需要将binary_expr拆分,Or 表达式提升为独立的非终结符,放到 And 前面:
primary_expr -> single_literal | range_literal | '(' expr ')' //基本词素
unary_expr -> primary_expr | primary_expr '*' //一元
or_expr ->
unary_expr {Reduce ELSE}
|
unary_expr '|' or_expr //或
and_expr ->
or_expr
|
or_expr and_expr //与
expr -> and_expr
语法分析的实现有两种选择——基于 parser generater 代码生成, 或手写递归下降, 基于 LR 的 Parser 分析能力会更强(如支持左递归文法), 而手写递归下降则更便于控制.
在手写递归下降时, 一个经验指导是, 设计文法时标清晰地标记出每个产生式的 Follow 集. 因为我们编码时每个非终结符对应的分析函数需要明确,何时应当 归约(Reduce) (方法返回), 何时应该 移入(Shift) (方法循环,继续读取下一个词素).
对于 or_expr,当分析出一个 unary_expr 后, 如果 lookahead='|' 则选择移入, 否则归约.
or_expr ->
unary_expr {Reduce ELSE}
|
unary_expr {Shift if lookahead is '|' } '|' or_expr //或对于 and_expr, 其 Follow 集为 {EOF,')'} ,所以当分析出一个 or_expr 后, 如果 lookahead in EOF,')'则归约, 否则移入.
and_expr ->
or_expr {Reduce if lookahead in EOF,')'}
|
or_expr and_expr //与经过语法分析阶段, 对于给定的一个正则表达式, 可以得到其对应的抽象语法树(Abstract Syntax Tree), 而语义分析阶段要做的, 就是对这棵树进行遍历分析, 以达成相应目的.
正则引擎的语义分析, 目的是要得到 AST 对应的 NFA(Non-deterministic finite automata) , 以便在下一步交给子集构造法(Subset Construction Method).
NFA 由 状态(NStates) 和 转换(NTrans) 构成, AST 转 NFA 的过程, 其实就是做两件事, 一是确定 NFA 的状态有哪些, 二是确定状态间的转换.

上图是 (a|b)*abb 对应的 AST, 为了便于描述, 叶子节点都打上了标号. 如果人工进行分析(不考虑编码实现), 不难看出, 如果从 NFA 的起点出发, 存在如下状态转换:

换言之, 1,2,3 这三个节点都是 NFA 首个状态, 于是, 得到如下 NFA :

下一步,要考虑的是, 状态 1、2、3, 分别存在哪些转换. 由于是上帝视角(人工分析), 所以很容易得出答案:
状态1
$ 状态2
状态3

要构建完整的 NFA, 其实只是这个过程的重复. 重复的事情还是交给程序处理为好, 于是下面开始思考编码实现.
在前述过程中,其实每一步, 考虑的都是同一个问题: "下一步该怎么走?" ,更具体一点的表述: "当前状态后面可以跟随什么?" 编译原理中,把一个状态可以跟随的符号集合, 称为 Follow 集.
构建 NFA 的过程, 第一步是确定状态, 不难发现, AST 的叶子节点都对应一个 NFA 状态; 第二步是确定状态的转换, 即求出每个状态(叶子节点)的输入什么符号可到达的后继状态, 也即是 Follow 集合.
而计算 Follow 集的前提是需要知道 First 集, 上例中, 在状态3处, 我们之所以知道
, 是因为开启了上帝视角(人工分析), 知道后继状态 4 接受 b. 对于状态 3 而言 b 属于其Follow 集, 而对于状态 4 来说, 是其 First集.
为了描述的简洁性, 下文将用 first(A) 表示节点 A 的 First 集; follow(A) 表示节点A 的 Follow 集; nullable(A) 表示节点 A 是否可空,比如 a*b 中的 a* 就是可空的
叶子节点的first集合就是本身, 对于非叶子节点, 其 first 集合计算逻辑如下:
例外情况:
| 的 First集合 = first(left child) ∪ first(right child)通用规律
例外情况:
* + 表达式, 还要并上 first(left) ((因为其可以重复,所以其 Follow 集包含自身的 First 集)| 表达式,左右节点的Follow集均等同父节点一个 AST 树, 可能会经历多种处理, 比如 计算 First 集、Follow 集、生成 NFA.
最简单的办法是, 每种处理都对应一个 AST 的处理函数, 这是解释器模式(Interpreter).

这种模式会把数据表示 与 数据处理 耦合在一起, 如果数据的处理只有固定的几种, 那么尚可, 而如果经常变化则不太适合, 试想每当在接口中添加一个处理方法时, 都要去所有的 AST 子类更改, 在 AST 子类很多的时候, 会是一个很麻烦的事. 并且处理方法很多时, 会导致 AST 类过于膨胀, 各种不同类型的处理逻辑都混杂一起.
更好的办法是将 数据表示 与 数据处理 分离, 这便是访客模式(Visitor).

不同类型的访客对语法树的遍历顺序并不一致, FirstSetVisitor 需要以后序遍历, FollowSetVisitor 需要先序遍历. NFAGenerator 则无所谓遍历顺序, 但是在执行顺序上需要最后执行.
如果将遍历与访问分离, 那么就可以在只用 2 次遍历, 完成 3 种 访问.
如果访问的类型更多, 那么种分离将带来更大的优势, 理论上最多只需要 4 次遍历(先序、中序、后序、广度优先) 就可以完成任意种访问.
//1. 后序遍历
traversePostOrder(ast, node -> {
//计算 First 集
firstSetVisitor.visit(node)
}
)
//2. 先序遍历
traversePreOrder(ast, node -> {
//计算 Follow 集
followSetVisitor.visit(node)
//生成 NFA
nfaGenerator.visit(node)
}
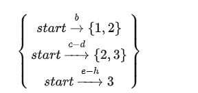
)思路: NFA 存在的问题在于,对同一个输入可能存在多个后继状态,其转换具有二义性. 所谓 "二义性" 换一种表述是 "给定条件下存在多种可能转换". 如果化零为整,将多种可能作为一个整体,即把这多个可能的后继状态合为一个"大的状态"来看待,那么情况将会不一样.
具体来说,对于 a*ab (如下图)

在起点处,输入a可能的后继状态是 1、2, 那么就把1、2合为一个状态 A =

大状态 A 里, 状态 1、2 存在转换为
将其聚合后得到


, 由于 {1,2} 已存在就是 A 本身所包含的 NFA 状态, 所以
, 生成一个新的状态 B =
, 得到 DFA 转换
发热23··



至此,NFA 就变成了 DFA.
从表达的语义来看,DFA 与 NFA 并没有差别,如上例的 NFA 的转换:
其对应的 DFA 转换:
事实上, 两者都表达了 "起点处输入a可能到达1或2". 但是在表达形式上, NFA 将这种二义性(或者说多种可能性)表现在转换上了; 而与之不同, DFA 将二义性表达在状态里, 多种可能性被聚合在状态里, 消除了转换的二义性.
如果不是计算机处理,而是人脑,其实潜意识里就已经存在那个 “NFA 转 DFA”的过程, 人脑可以“并发地”同时走多条路径. 这么看,DFA 转 NFA 其实是把人类的潜意识里存在的处理方式“教”给了计算机.
工程实践与教科书的区别在于, 教科书总是假设一个理想环境, 而工程并非如此. 前文中讲 NFA 转 DFA 时, 其实忽略一个现实: "转换可以是针对一个范围的输入" .

上图是正则表达式 (b|[b-d]|[c-h]|.)z 对应的 NFA, 你会看到, 起点处的转换, 是存在“交集”的:

换言之,也即是对相同区间的输入存在一种以上的转换,这对于 NFA 没有什么问题(破罐破摔了), DFA 则不可接受.
针对这种情况, 在将 NFA 转换 DFA 时, 需要设计一个算法, 消除 NFA 的存在交集的转换的二义性, 算法过程如下:
上例中, 起点处存在如下 4 个转换:
我们把每个转换的输入区间看作一个集合, 对转换 1 与转换 2 输入区间作集合运算:
根据运算结果, 交集为 {b}, 所以
, 转换2的差集为 {c~d}, 所以
合在一起, 于是得到了如下转换:
下一步, 将转换 3 与上面两个一一作集合运算, 重复相同的处理逻辑, 得到:
最后, 对转换4 与以上3个转换一一作集合运算, 得到:

至此, 便消除了转换的二义性问题, 得到如下 DFA :
