个人简介:Java领域新星创作者;阿里云技术博主、星级博主、专家博主;正在Java学习的路上摸爬滚打,记录学习的过程~ 个人主页:.29.的博客 学习社区:进去逛一逛~
public class testLinkedList{
//单链表 节点(存储int型数据)
public static class Node{
public int value;
public Node next;
public Node(int data){
this.value = data;
}
}
//实现单链表反转
public static Node reverse(Node head){
private Node pre = null;
private Node next = null;
while(head != null){
next = head.next;
head.next = pre;
pre = head;
head = next;
}
return pre;
}
}public class testDoubleLinkedList{
//双链表 节点(存储int型数据)
public static class DoubleNode{
public int value;
public DoubleNode last;
public DoubleNode next;
public DoubleNode(int data){
this.value = data;
}
}
//双链表反转 实现
public static DoubleNode reverse(DoubleNode head){
public DoubleNode next = null;
public DoubleNode pre = null;
while(head != null){
next = head.next;
head.next = pre;
head.last = next;
pre = head;
head = next;
}
return pre;
}
}题目:
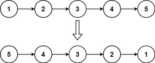
给定单链表的头节点 head ,请反转链表,并返回反转后的链表的头节点。
示例 1 :

输入:head = [1,2,3,4,5]
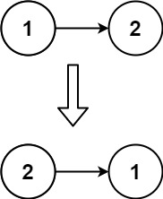
输出:[5,4,3,2,1]示例 2 :

输入:head = [1,2]
输出:[2,1]示例 3 :
输入:head = []
输出:[]解答:
/**
* Definition for singly-linked list.
* public class ListNode {
* int val;
* ListNode next;
* ListNode() {}
* ListNode(int val) { this.val = val; }
* ListNode(int val, ListNode next) { this.val = val; this.next = next; }
* }
*/
class Solution {
public ListNode reverseList(ListNode head) {
ListNode next = null;
ListNode pre = null;
while(head != null){
next = head.next;
head.next = pre;
pre = head;
head = next;
}
return pre;
}
}AC:

题目:
给你单链表的头指针 head 和两个整数 left 和 right ,其中 left <= right 。请你反转从位置 left 到位置 right 的链表节点,返回 反转后的链表 。
示例 1:

输入:head = [1,2,3,4,5], left = 2, right = 4
输出:[1,4,3,2,5]示例 2:
输入:head = [5], left = 1, right = 1
输出:[5]提示 :
n1 <= n <= 500-500 <= Node.val <= 5001 <= left <= right <= n解答:
/**
* Definition for singly-linked list.
* public class ListNode {
* int val;
* ListNode next;
* ListNode() {}
* ListNode(int val) { this.val = val; }
* ListNode(int val, ListNode next) { this.val = val; this.next = next; }
* }
*/
class Solution {
public ListNode reverseBetween(ListNode head, int left, int right) {
//left 与 right 在同一个位置,无须交换。
if(left == right) return head;
ListNode next = null; //当前节点的后一个节点
ListNode pre = null; //当前节点的前一个节点
ListNode leftPre = null; //left位置节点的前一个节点
ListNode rightNext = null; //right位置节点的后一个节点
ListNode Left = null; //left位置节点
ListNode Right = null; //right位置节点
ListNode curr = head; //当前节点指向head节点
boolean flag = false; //记录left位置是否为head节点
if(left == 1){ //left在第一个位置,说明left位置是head节点
flag = true;
Left = curr;
}
for(int i = 1;i <= right;++i){
if((i + 1) == left){
leftPre = curr;
Left = curr.next;
}
if(i == right){
Right = curr;
rightNext = curr.next;
}
curr = curr.next;
}
//将left到right位置的链表反转
curr = Left;
while(curr != rightNext){
next = curr.next;
curr.next = pre;
pre = curr;
curr = next;
}
//反转后,left的下一个指向原本right的下一个
Left.next = rightNext;
if(flag){ //若在一开始left就是head
return Right; //反转完原本right位置的节点就是头节点
}
//若在一开始left在head后面,还需要将原本left前一个作为原本right前一个
leftPre.next = Right;
return head;
}
}AC:
