机器之心报道
编辑:陈萍、大盘鸡
苹果发布基于开源训练和推理框架的高效语言模型族 OpenELM。
要说 ChatGPT 拉开了大模型竞赛的序幕,那么 Meta 开源 Llama 系列模型则掀起了开源领域的热潮。在这当中,苹果似乎掀起的水花不是很大。
不过,苹果最新放出的论文,我们看到其在开源领域做出的贡献。
近日,苹果发布了 OpenELM,共四种变体(参数量分别为 270M、450M、1.1B 和 3B),这是一系列基于公开数据集进行预训练和微调的模型。OpenELM 的核心在于逐层缩放,即 OpenELM 中的每个 Transformer 层都有不同的配置(例如,头数和前馈网络维度),导致模型每层的参数数量不同,从而实现了更有效的跨层参数分配。
值得一提的是,苹果这次发布了完整的框架,包括数据准备、训练、微调和评估程序,以及多个预训练的 checkpoint 和训练日志,以促进开源研究。

结果显示,OpenELM 的性能优于使用公开数据集进行预训练的现有开源 LLM(表 1)。例如,具有 11 亿个参数的 OpenELM 性能优于 OLMo。

方法介绍
OpenELM 架构
OpenELM 采用只有解码器的 transformer 架构,并遵循以下方式:
(1)不在任何全连接(也称为线性)层中使用可学习的偏差参数;
(2)使用 RMSNorm 进行预标准化,旋转位置嵌入(ROPE)用于编码位置信息;
(3)使用分组查询注意力(GQA)代替多头注意力(MHA);
(4)用 SwiGLU FFN 替换前馈网络(FFN);
(5) 使用 flash 注意力来计算可缩放的点积注意力;
(6) 使用与 LLama 相同的分词器(tokenizer)。
一般来讲,LLM 中每个 transformer 层使用相同的配置,从而实现跨层参数的统一分配。与这些模型不同的是,OpenELM 中的每个 Transformer 层都有不同的配置(例如,头数和前馈网络维度),导致模型每层的参数数量不同。这使得 OpenELM 能够更好地利用可用的参数预算来实现更高的精度。苹果使用逐层缩放(layer-wise scaling)来实现跨层参数的非均匀分配。
逐层缩放:标准 Transformer 层由多头注意力(MHA)和前馈网络(FFN)组成。针对 Transformer 层参数分配不均匀的问题,苹果对各个 Transformer 层的注意力头数和 FFN 乘法器进行了调整。
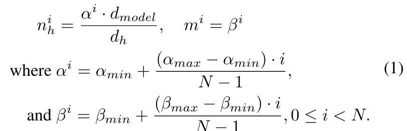
苹果是这样做的。设参数分配均匀的标准 Transformer 模型有 N 层 transformer,假设每层输入的维数为 d_model。MHA 有 n_h 个头,每个头的维度为

,FFN 的隐藏维度为:

苹果引入参数 α 和 β 两个超参数来分别缩放每层注意力头的数量 n_h 和 m。对于第 i 层,n_h 和 m 计算为:
预训练数据
对于预训练,苹果使用公共数据集。具体来说,他们的预训练数据集包含 RefinedWeb、deduplicated PILE、RedPajama 的子集和 Dolma v1.6 的子集,总计约 1.8 万亿个 token 。如下表所示。

训练细节
苹果使用自家开源的 CoreNet 库(以前称为 CVNets ,专门用于训练深度神经网络)训练 OpenELM 变体,训练过程迭代了 35 万次。最终训练出了 OpenELM 四种变体(参数量为 270M、450M、1.1B 和 3B)。
实验
本文评估了 OpenELM 在零样本和少样本设置下的性能,如表 3 所示。研究者将 OpenELM 与公开的 LLM 进行了比较,其中包括 PyThia 、Cerebras-GPT 、TinyLlama 、OpenLM 、MobiLlama 和 OLMo 。与本文工作较为相关的是 MobiLlama 和 OLMo。这些模型都是在类似的数据集上训练的,具有相似或更多的预训练 token。

图 1 绘制了 OpenELM 在 7 个标准零样本任务上随训练迭代次数的准确率。可以发现,在大多数任务中,随着训练持续时间的延长,准确率在总体上会有所提高。此外,通过平均最后五个检查点(每 5000 次迭代收集一次)得到的检查点,在准确率上与经过 350k 次迭代后得到的最终检查点相当,或略有提高。这种改进很可能是由于权重平均降低了噪声。因此,在表 4 的主要评估、表 5 的指令调优实验和表 6 的参数效率调优实验中,研究者使用了平均检查点。

表 4 中的结果横跨各种评估框架,突出了 OpenELM 相对于现有方法的有效性。表 4 中的结果跨越了不同的评估框架,凸显了 OpenELM 相对于现有方法的有效性。例如,与拥有 12 亿个参数的 OLMo 相比,拥有 11 亿个参数的 OpenELM 变体的准确率分别提高了 1.28%(表 4a)、2.36%(表 4b)和 1.72%(表 4c)。值得注意的是,OpenELM 达成了这样的准确率,但是使用的预训练数据比 OLMo 少的多。

如图 5 所示,在不同的评估框架中,指令微调始终能将 OpenELM 的平均准确率提高 1-2%。

参数高效微调(PEFT)结果。研究者使用常识推理的训练和评估设置。这个设置为不同方法提供了 8 个多项选择数据集的 170k 训练样本进行 PEFT 研究,包括 LoRA 和 DoRA。研究者将 OpenELM 与这些方法整合在一起,并使用 8 个 NVIDIA H100 GPU 对所生成的模型进行了三个训练周期的微调。如表 6 所示,PEFT 方法可以应用于 OpenELM。在给定的 CommonSense 推理数据集上,LoRA 和 DoRA 的平均准确率相似。

表 7a 和 7b 分别展示了本项工作在 GPU 和 MacBook Pro 上的基准测试结果。尽管 OpenELM 在相似参数数量下准确度更高,但其速度比 OLMo 慢。虽然这项研究的主要关注点是可复现性而不是推理性能,但研究者还是进行了全面的性能分析来判断工作的瓶颈所在。
分析表明,OpenELM 的处理时间的相当部分可归因于研究者对 RMSNorm 的简单实现(见表 8)。详细来说,也就是简单的 RMSNorm 实现导致许多单独的内核启动,每个都处理少量输入,而不是像 LayerNorm 那样启动单个融合内核。通过用 Apex 的 RMSNorm 替换简单的 RMSNorm,研究者发现 OpenELM 的吞吐量显著提高。然而,与使用优化 LayerNorm 的模型相比,仍有显著的性能差距,部分原因是(1)OpenELM 有 113 层 RMSNorm,而 OLMo 有 33 层 LayerNorm;(2)Apex 的 RMSNorm 没有为小输入优化。为了进一步说明由 RMSNorm 引起的性能下降,苹果用 RMSNorm 替换了 OLMo 中的 LayerNorm,观察到生成吞吐量显著下降。在未来的工作中,研究者计划探索优化策略以进一步提高 OpenELM 的推理效率。


更多详细内容,请阅读原论文。
© THE END
转载请联系本公众号获得授权
投稿或寻求报道:content@jiqizhixin.com