湊一凑这个积分就凑出来了
这个第二类换元的名气就不大了,但是我要是说出三角换元呢?
这一节我觉得没有什么太多可以遐想的地方,不过是可以在具体的严密性上做文章,但是没有人看:

直接上公式,意思是原函数里面的变量换成了一个函数

这是限制
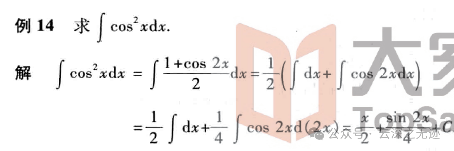
直接上题:

这个函数
如果是看完第一篇文章的人上来可能就说,提出来!换元!OK,算一下:

你会发现在我们的这个里面,arcsin的接近的,但是人家没有分之一
那这个时候就需要用三角函数了:

至于为什么要用sin换:

看这个
在高数叔这本书里面有:

下面的结论好好记住

首先卡一个单调的区间,代入原式,对换元替代的函数求导,接着是使用这个公式,其实这里就是第一类换元的样子,因为你相当于是内部的函数了,最后继续求,注意最后再乘一下自己替代函数的微分。

最后答案就是这个了,差一个系数
其实就是多了一步将里面的变量换为了三角函数。
接下来看一个题目:

属于是这样的都类型

tan的图像,看见了吗?还有渐近线


这个结果还是记住吧,这算的麻烦死了
计算里面最后一步是还原回去:

要换成关于t的函数

附图一张,稳了
后面的习题也精彩,但是基本的思想已经传达完毕了。
放一个ChatGPT做的题,只能说干净利落,这得做多少题才能这么熟练:

牛逼!

书后也给了几个常见的积分,都是老熟人了
除了三角函数以外,其实还有一种是:
