
思路:
找到链表的中间节点,然后逆置链表的后半部分,再一一遍历链表的前半部分和后半部分,判断是是否为回文结构。
快慢指针找到链表的中间节点

slow指针指向的就是中间节点

逆置链表后半部分

逆置链表后半部分

遍历链表前半部分和后半部分

如果left和right指向的数据不相等,就跳出循环,返回false;如果遍历到left或者right为NULL,数据都相等,那么链表具有回文结构,返回true。

这里如果是奇数个节点:

遍历结束后:

class PalindromeList {
public:
//找链表中间节点
ListNode* Listmid(ListNode* phead)
{
ListNode* fast, *slow;
fast=slow=phead;
while(fast && fast->next)
{
slow=slow->next;
fast=fast->next;
}
return slow;
}
//逆置
ListNode* reverse(ListNode* phead)
{
ListNode* l1,*l2,*l3;
l1=NULL;
l2=phead;
while(l2)
{
l3=l2->next;
l2->next=l1;
l1=l2;
l2=l3;
}
return l1;
}
bool chkPalindrome(ListNode* A) {
// write code here
//找到链表中间节点
ListNode* mid=Listmid(A);
//逆置后半部分
ListNode* phead = reverse(mid);
//比较
ListNode* left, *right;
left=A;
right=phead;
while(right && left)
{
if(right->val!=left->val)
{
return false;
}
left=left->next;
right=right->next;
}
return true;
}
};
判断两个链表是否相交,如果相交就返回相交节点,如果链表不相交,那就返回NULL;
思路:
先遍历两个链表,记录两个链表的节点个数;再同时遍历两个链表 ,让节点个数多的链表先往前走s(链表的节点个数差);同时遍历两个链表,如果指向链表的指针相等,就返回当前节点;如果遍历链表结束后,都没有相等的节点,那就返回NULL。
typedef struct ListNode ListNode;
struct ListNode* getIntersectionNode(struct ListNode* headA,
struct ListNode* headB) {
if (headA == NULL) {
return NULL;
}
if (headB == NULL) {
return NULL;
}
int sizeA = 0, sizeB = 0;
ListNode *l1, *l2;
l1 = headA;
l2 = headB;
while (l1) {
sizeA++;
l1 = l1->next;
}
while (l2) {
sizeB++;
l2 = l2->next;
}
ListNode* shortList = headA;
ListNode* longList = headB;
int s = abs(sizeA - sizeB);
if (sizeA > sizeB) {
shortList = headB;
longList = headA;
}
while (s) {
s--;
longList = longList->next;
}
while (longList && shortList) {
if (longList == shortList) {
return longList;
}
longList = longList->next;
shortList = shortList->next;
}
return NULL;
}
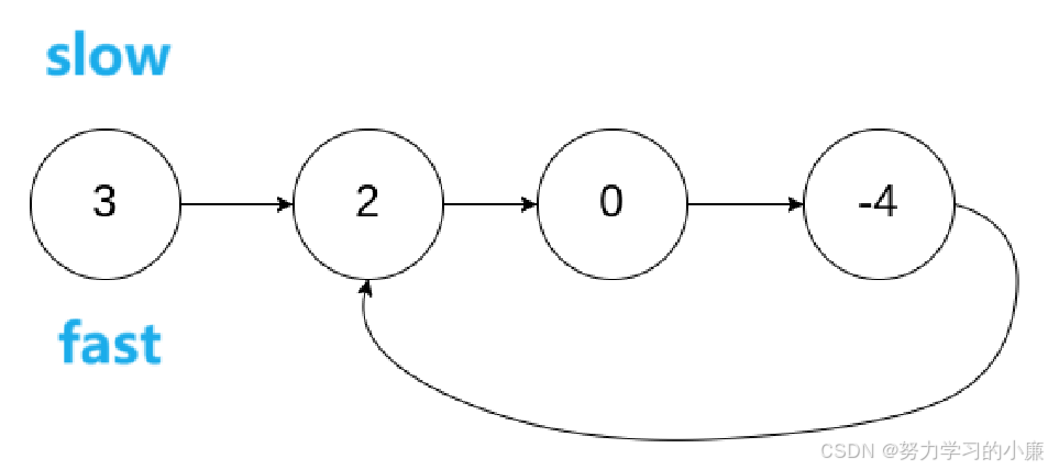
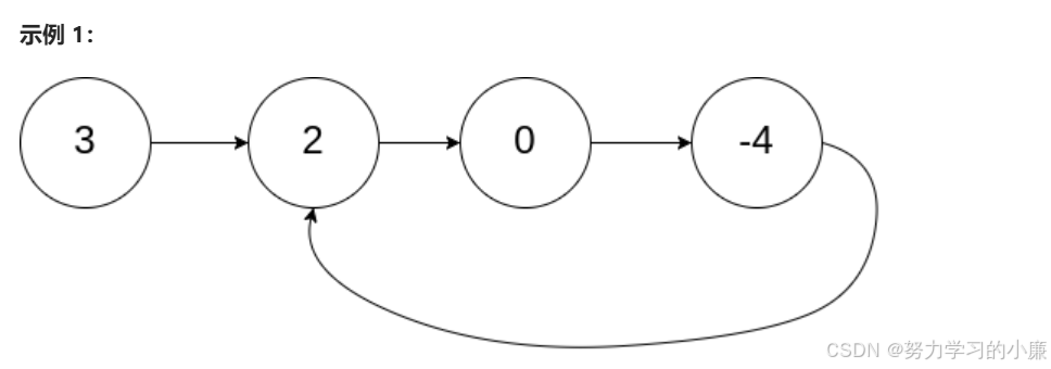
判断 链表中是否存在环,如果存在就返回true,如果不存在就返回false;
思路:快慢指针
定义两个指针fast和slow;遍历链表,fast每次向前走两步,slow每次向前走一步,如果链表存在环,fast与slow指针一定会相遇;如果遍历链表,fast或者fast->next为NULL,则链表不存在环。
根据题目所给示例来分析一下:
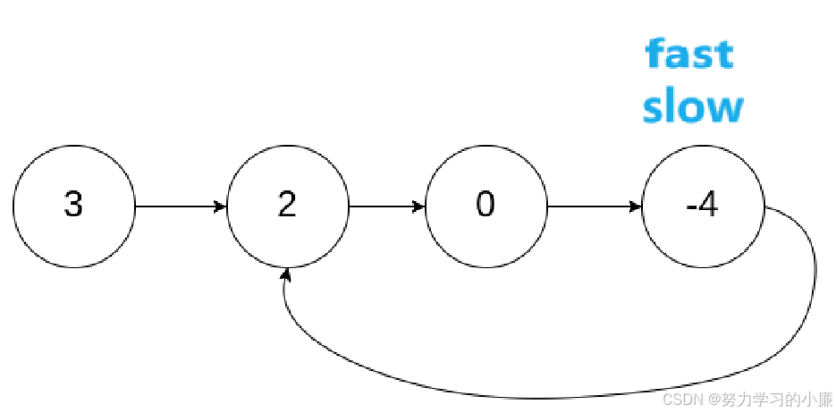
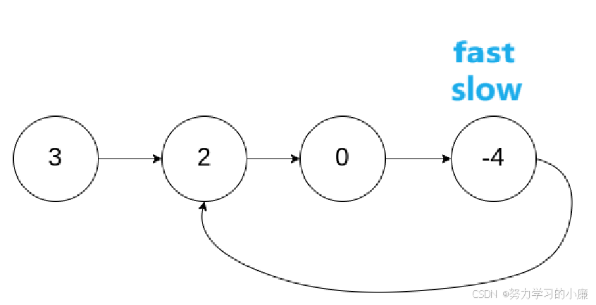
首先定义两个指针 fast slow

fast向前走两步,slow向前走一步

fast向前走两步,slow向前走一步

fast向前走两步,slow向前走一步

此时,fast和slow相遇,证明链表中存在环,返回true。
如果链表不存在环结构,遍历过程中fast或者fast->next指针会等于NULL,将这个作为结束条件即可。
typedef struct ListNode ListNode;
bool hasCycle(struct ListNode *head) {
ListNode* fast, *slow;
fast=slow=head;
while(fast && fast->next)
{
fast=fast->next->next;
slow=slow->next;
if(slow == fast)
{
return true;
}
}
return false;
}
上面只是让我们判断链表是否带环,这道题让我们返回链表环的起始节点,如果不存在环就返回NULL。
思路:
使用快慢指针找到快慢指针的相遇节点;再定义两个指针从相遇节点和链表头结点开始遍历,两个指针相遇时的节点就是链表环的起始节点。
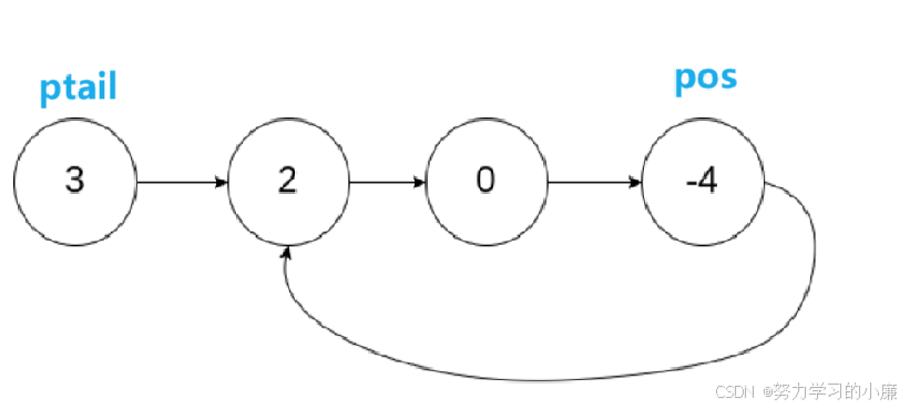
根据题目的示例来分析:

先找到链表快慢指针的相遇节点:

定义两个指针从链表头部和相遇节点开始遍历链表

遍历链表直到两个指针相遇

两个指针相遇,此时指针指向的节点就是链表环的起始节点。
typedef struct ListNode ListNode;
ListNode* hasCycle(struct ListNode *head) {
ListNode* fast, *slow;
fast=slow=head;
while(fast && fast->next)
{
fast=fast->next->next;
slow=slow->next;
if(slow == fast)
{
return slow;
}
}
return NULL;
}
struct ListNode *detectCycle(struct ListNode *head) {
//找到快慢指针相遇节点
ListNode* pos=hasCycle(head);
if(pos==NULL)
{
return NULL;
}
//从头结点和相遇节点开始遍历
ListNode* ptail=head;
while(1)
{
if(pos==ptail)
{
return pos;
}
pos=pos->next;
ptail=ptail->next;
}
}
这里题目上提到了一个深拷贝

思路:
先在原链表的基础上创建节点,形成新的链表,再给链表节点的random指针赋值,最后断开新链表和原链表的连接即可。
深拷贝原链表

拷贝过后

给random指针赋值

断开新链表和原链表之前的连接

这样就深拷贝了原链表,返回新链表的头节点即可。
typedef struct Node Node;
// 创建节点
Node* BuyNode(int x) {
Node* newnode = (Node*)malloc(sizeof(Node));
newnode->next = newnode->random = NULL;
newnode->val = x;
return newnode;
}
// 深拷贝
void CopyList(Node** head) {
Node* ptail = *head;
Node* next = NULL;
while (ptail) {
next = ptail->next;
Node* newnode = BuyNode(ptail->val);
newnode->next = next;
ptail->next = newnode;
ptail = next;
}
}
void Connect(Node** head) {
Node* ptail = *head;
Node* copy = (*head)->next;
while (ptail) {
copy = ptail->next;
if (ptail->random)
copy->random = ptail->random->next;
ptail = copy->next;
}
}
struct Node* copyRandomList(struct Node* head) {
if (head == NULL)
{
return NULL;
}
// 深拷贝原链表
CopyList(&head);
// 连接random指针
Connect(&head);
// 断开链表
Node* ptail = head;
Node* newhead = head->next;
Node* copy = head->next;
while (ptail->next->next) {
ptail=copy->next;
copy->next = copy->next->next;
copy = copy->next;
}
return newhead;
}