首页
学习
活动
专区
圈层
工具
发布
社区首页 >专栏 >白血病这样的癌症样品做DNA测序该取什么作为正常对照样本来找somatic突变呢

白血病这样的癌症样品做DNA测序该取什么作为正常对照样本来找somatic突变呢

作者头像
生信技能树
发布2024-11-21 09:34:19
发布2024-11-21 09:34:19
3250
举报
文章被收录于专栏:生信技能树生信技能树

tcga计划有很多实体肿瘤样品,它们去肿瘤组织的同时都取了对应病人的血液样品, 这样的话就可以比较准确的找每个病人的somatic突变。但是血液肿瘤本身的癌组织就是血液,该如何去找这个病人的正常组织呢?

体细胞突变和生殖系突变在肿瘤和遗传疾病研究中都扮演着角色不一样

体细胞突变(Somatic Mutations)和生殖系突变(Germline Mutations)是基因突变的两种主要类型,它们在肿瘤研究和遗传疾病研究中具有不同的含义和研究重点:

  1. 体细胞突变
    • 定义:体细胞突变发生在个体的非生殖细胞中,因此这些突变不会遗传给后代。它们通常在个体的生命周期中获得,尤其是在细胞分裂过程中。
    • 肿瘤研究:在肿瘤学中,体细胞突变尤为重要,因为它们可以驱动癌症的发展。这些突变可能影响细胞的生长和分裂控制,导致细胞不受控制地增殖形成肿瘤。肿瘤细胞中的体细胞突变包括癌基因的激活和肿瘤抑制基因的失活。
    • 研究重点:在肿瘤研究中,科学家们致力于识别和理解这些突变如何促进肿瘤的形成、进展和对治疗的响应。这包括分析突变的类型、频率、克隆性(即突变在肿瘤细胞群体中的分布)以及它们对肿瘤微环境的影响。
  2. 生殖系突变
    • 定义:生殖系突变发生在个体的生殖细胞(精子和卵子)中,因此这些突变可以遗传给后代。
    • 遗传疾病研究:在遗传疾病研究中,生殖系突变是主要的研究对象,因为它们是遗传性疾病的基础。这些突变可能影响基因的正常功能,导致遗传性疾病或增加个体对某些疾病的易感性。
    • 研究重点:在遗传疾病研究中,科学家们关注生殖系突变如何影响基因的功能,以及这些突变如何在家族中传递。这包括家族遗传模式的研究、遗传咨询和疾病风险评估。

在肿瘤研究和遗传疾病研究中的侧重点

  • 肿瘤研究
    • 侧重于识别和理解导致肿瘤发生的体细胞突变。
    • 研究突变如何影响细胞信号传导、细胞周期控制、DNA修复机制等。
    • 探索突变对肿瘤异质性、药物敏感性和耐药性的影响。
    • 利用突变信息进行精准医疗,开发针对特定突变的靶向治疗。
  • 遗传疾病研究
    • 侧重于识别和理解导致遗传性疾病的生殖系突变。
    • 研究突变如何影响基因的正常功能和蛋白质的结构和功能。
    • 评估突变对个体健康的影响,包括疾病风险、症状严重性和疾病表现。
    • 提供遗传咨询和家族规划服务,帮助家庭理解和管理遗传风险。

总的来说,体细胞突变和生殖系突变在肿瘤和遗传疾病研究中都扮演着关键角色,但它们的研究目标和应用不同。体细胞突变的研究有助于癌症的诊断、治疗和预后评估,而生殖系突变的研究有助于理解遗传性疾病的机制和提供遗传咨询。

血液癌症的somatic突变识别的困难和挑战

在白血病等血液癌症中,寻找体细胞突变(somatic mutations)确实面临一些挑战,因为肿瘤细胞本身就存在于患者的血液中。以下是一些常用的方法来获取对照样本,以及如何区分体细胞突变和生殖系突变(germline mutations):

  1. 正常对照样本的选择
    • 非肿瘤组织:如果可能,可以使用患者其他非肿瘤组织(如皮肤或口腔黏膜细胞)作为对照。
    • 亲属样本:在某些情况下,可以使用患者的亲属的血液或组织样本作为对照,尤其是当研究遗传易感性时。
    • 公共数据库:可以使用公共数据库中的正常人群基因组数据作为参考。
  2. 区分体细胞和生殖系突变
    • 等位基因频率:体细胞突变通常在肿瘤样本中的等位基因频率(allele frequency)较高,而生殖系突变在正常和肿瘤样本中都会出现。
    • 克隆性造血:在白血病中,可以通过分析突变的克隆性来区分体细胞突变。体细胞突变通常与特定的克隆群体相关联,而生殖系突变在所有细胞中都存在。
    • 深度测序:通过深度测序可以提高突变检测的准确性,有助于区分低频的体细胞突变和背景噪声。
    • 算法和软件:使用专门的生物信息学工具和算法,如Strelka、MuTect或VarScan,可以帮助识别和区分体细胞和生殖系突变。
  3. 白血病样本的特殊考虑
    • 治疗前样本:如果可能,使用治疗前的样本作为对照,因为治疗可能会引入额外的突变。
    • 克隆性造血分析:在没有正常对照样本的情况下,分析克隆性造血模式可以帮助识别体细胞突变。
  4. 实验设计和数据分析
    • 配对分析:如果有可能获取治疗前后的样本,可以进行配对分析,以监测治疗诱导的突变。
    • 多样本比较:在没有正常对照的情况下,可以比较多个时间点或不同条件下的样本,以识别体细胞突变。

在实际操作中,研究人员需要根据可用的样本类型、实验设计和分析工具来确定最合适的方法。对于白血病等血液癌症,可能需要更复杂的分析策略来区分体细胞和生殖系突变。此外,与临床医生和生物信息学家的紧密合作对于确保数据准确性和生物学解释至关重要。

让我们看看下面的这个NG文章是如何做的吧!

Title

The genomic landscape of pediatric acute lymphoblastic leukemia

Online

https://www.nature.com/articles/s41588-022-01159-z

研究背景

儿童急性淋巴细胞白血病(ALL)是最常见的儿童癌症,由B系或T系淋巴祖细胞发展而来。ALL存在超过30种基因亚型,具有不同的预后重要性。

研究方法

  • 患者和样本:2,754例新诊断的儿童和青少年ALL患者(B-ALL 2,288例,T-ALL 466例),平均诊断年龄为6.4岁。而配对的正常对照样本,一般可以取皮肤或者口腔黏膜细胞作为正常对照、也有取毛囊作为正常对照的。在这一篇文献,研究团队则是采用缓解期的血液或骨髓,在流氏或纯化后筛选到的非肿瘤细胞。
  • 测序方法:对1729名患者进行了全外显子测序(WES)、768名进行全基因组测序(WGS)和1808名单核苷酸多态性阵列(SNP)分析。另外还有 1889 名患者进行了单肿瘤模式的 全转录组 RNAseq。
  • 数据处理:对于 WGS 数据,使用 BWA 比对到hg19,然后用 CONSERTING call somatic CNA ,结构变异 SV 则是采用四个工具 CREST 、SVABA、Manta、Delly进行分析,至少2个工具检测到的 SV 才会纳入后续分析。对于WES和WGS数据,SNV 和 InDel 则采用 Bambino 进行call变异,并在 BamViews 可视人工过滤,最后用 VEP 进行注释。
  • 然后进行 SNV 突变负荷定量(TMB)和显著性突变分析(MutSigCV、GRIN、GISTIC2和MedalCeremony),还有驱动突变和突变特征分析。
  • 这些软件我们都或多或少介绍过了哈:
  • PyClone-vi 的使用方法--肿瘤基因组测序数据分析专栏
  • GISTIC2 的使用方法--肿瘤基因组测序数据分析专栏
  • GATK 的 germline CNV 流程--肿瘤基因组测序数据分析专栏
  • 使用 Manta 检测结构变异--肿瘤基因组测序数据分析专栏
  • dbNSFP数据库--肿瘤基因组测序数据分析专栏
  • 仅肿瘤样本的突变过滤方法--肿瘤基因组测序数据分析专栏
  • 变异位点的描述格式--肿瘤基因组测序数据分析专栏
  • 体细胞突变的过滤方法--肿瘤基因组测序数据分析专栏
  • CNVkit的使用方法--肿瘤基因组测序数据分析专栏
  • Strelka2 call Somatic 流程--肿瘤基因组测序数据分析专栏
  • GATK 的 Germline mutation 流程--肿瘤基因组测序数据分析专栏
  • 肿瘤外显子测序数据分析公开课
  • Hallmarks | 癌症的特征II
  • GATK 的Somatic Mutation流程--肿瘤基因组测序数据分析专栏
  • 肿瘤基因组测序数据分析专栏--前言
  • 肿瘤基因组测序数据高级分析--肿瘤基因组测序数据分析专栏
  • 文献阅读 · 变异分析流程--肿瘤基因组测序数据分析专栏
  • 标志| 癌症的特征
  • 基础知识 · ClinVar--肿瘤基因组测序数据分析专栏
  • 基础知识 · COSMIC 数据库--肿瘤基因组测序数据分析专栏
  • 基础知识 · ExAC、GnomAD、1000G、dbSNP--肿瘤基因组测序数据分析专栏
  • 基础知识 · 常见数据库--肿瘤基因组测序数据分析专栏
  • 基础知识 · 全基因组测序WGS--肿瘤基因组测序数据分析专栏
  • 基础知识 · 全外显子测序WES--肿瘤基因组测序数据分析专栏
  • 基础知识 · 靶向测序Panel--肿瘤基因组测序数据分析专栏

研究结果

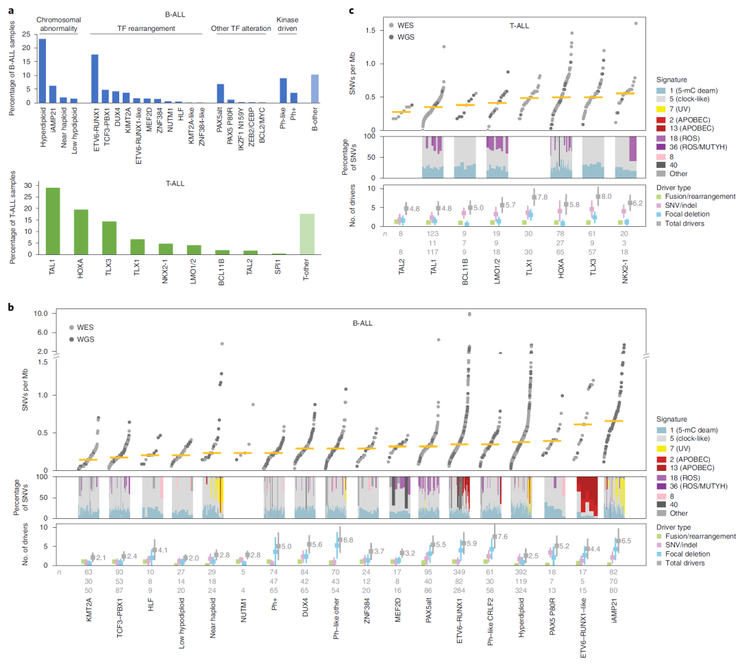
  • 突变概况:在对所有 B-ALL 和 T-ALL 样本重新细分亚型后,B-ALL 可以分为23种不同的子亚型,而 T-ALL 则可以分为 10个子亚型(fig 1a)。对于所有 ALL 样本来说,体细胞突变负荷是 0.35 SNVs/Mb(fig 1b & c)。并且检测到了376个驱动基因,其中70个之前未在 ALL 中被报导过。突变特征中,COSMIC 的sig1 和 sig5 几乎存在于所有样本中。
  • B-ALL 突变进化:hyperdiploid ALL 超二倍体白血病是儿童白血病最常见的亚型,研究团队发现,在 hyperdiploid ALL 中存在 4 种基因组倍性演化模式(fig 2c & d).
  • 驱动突变特异性:观察到了 49 个B-ALL 亚型的特异性驱动突变基因(事件),包括6p22、ADD3、IDH1 和 SLX4IP 上的多个不同组蛋白簇缺失,而在 T-ALL 中则有 MYCN 、RPL10、FBX028 这3个特异性驱动突变基因(事件)
  • 通路分析:基于 SNV 、Indel 和 CNA 来观察受影响的生物通路,发现转录因子和表观遗传调节因子的改变在 B-ALL 和 T-ALL 中都很常见。
  • 驱动突变的克隆性:在 B-ALL 亚型中,驱动突变(ETV6、IKZF1 和 PAX5)的癌细胞分数(携带突变的肿瘤细胞的百分比,或癌细胞分数 (CCF))很高,表明早期发生,而激酶信号点突变(KRAS、NRAS、JAK1、JAK2、FLT3 等)通常是亚克隆的,表明进化发生较晚。在 T-ALL 中,某些激酶相关的改变具有较高的 CCF,包括 JAK3 和 NRAS(fig 4a)
  • 生存分析:在 B-ALL 中,与 IKZF1 缺失患者相比,IKZF1 的预后较差。与特定 B-ALL 亚型的较差结果相关的突变包括 ETV6-RUNX1 ALL 中的 TBL1XR1、超二倍体 ALL 中的 SETD2 和 TCF3-PBX1 ALL 中的 CDKN2A(fig 6c-e)。在 T-ALL 中,PHF6 的改变与 TAL1 亚型的较差 OS 相关(图 6f)。

总结

本研究揭示了多种遗传变异对 ALL 发展的影响,同时加深了对ALL基因组景观和相关预后的理解,为未来的精准医疗提供了潜在的靶点。有助于开发针对特定遗传变异的新型治疗策略。同时该研究也存在一定的局限性,如研究主要关注了儿童和青少年患者,对于成人患者的适用性可能有限,研究结果需要在更大的患者群体中进一步验证。

本文参与 腾讯云自媒体同步曝光计划,分享自微信公众号。
原始发表:2024-09-02,如有侵权请联系 cloudcommunity@tencent.com 删除

本文分享自 生信技能树 微信公众号,前往查看

如有侵权,请联系 cloudcommunity@tencent.com 删除。

本文参与 腾讯云自媒体同步曝光计划  ,欢迎热爱写作的你一起参与!

评论
登录后参与评论
0 条评论
热度
最新
推荐阅读
目录
  • 体细胞突变和生殖系突变在肿瘤和遗传疾病研究中都扮演着角色不一样
    • 血液癌症的somatic突变识别的困难和挑战
    • 研究方法
    • 研究结果
    • 总结
领券
问题归档专栏文章快讯文章归档关键词归档开发者手册归档开发者手册 Section 归档