复现论文名称:You Only Look Once: Unified, Real-Time Object Detection 论文作者:Joseph Redmon, Santosh Divvala, Ross Girshick, Ali Farhadi 该论文就是YOLOv1,YOLOv1是YOLO系列目标检测算法的第一个版本,由Joseph Redmon等人于2015年提出。它是一种端到端的卷积神经网络,以极高的速度实现目标检测,尤其在实时应用中表现出色
YOLO系列都包括:输入端、Backbone、Neck,Head 其中 输入端:含有输入数据(图片or视频)、数据增强算法以及预处理操作部分 Backbone结构:核心特征提取器 Neck结构:V3版本才有,参考了FPN的特征融合思想,明显提升小物体的检测效果 Head结构:包含Head检测头、损失函数以及Head结构的优化策略
在数据集上进行训练卷积层。预训练使用下图的前20个卷积层,再跟上后边的平均池化层以及一个全连接层。

___

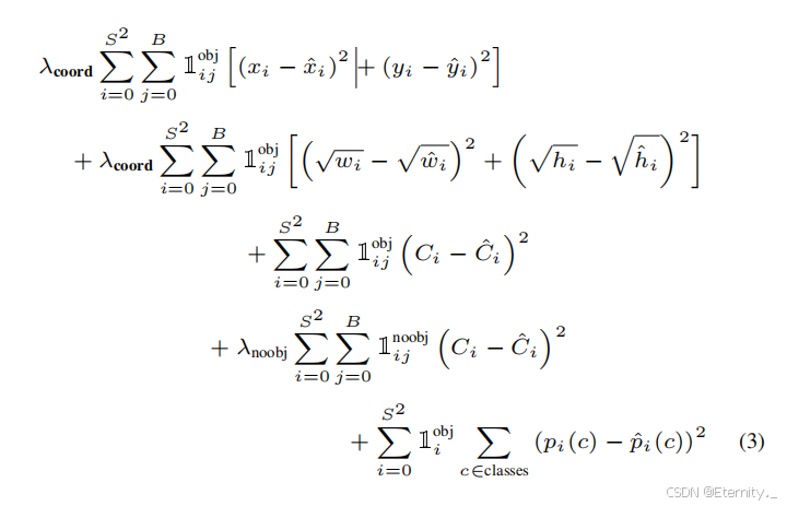
背景概率损失 坐标损失 类别预测损失 只有前景概率(三四行)达到一定值,判断为真的存在检测目标的时候,才会接着计算坐标损失(第一二行)和类别预测损失(第五行)。因此预测损失不是对每一个gird cell都做的。 在该文章中是用一周时间达到在ImageNet 2012数据集上88%的精度,整了一个预训练权重方便计算。
原代码是c语言,这里代码是参考了C语言的pytorch代码,用的ResNet网络,省事
class ResNet(nn.Module):
def __init__(self, block, layers):
super(ResNet, self).__init__()
# 通道数64
self.inplanes = 64
# 卷积层和池化层
self.conv1 = nn.Conv2d(3, 64, kernel_size=7, stride=2, padding=3,bias=False)
self.bn1 = nn.BatchNorm2d(64)
self.relu = nn.ReLU(inplace=True)
self.maxpool = nn.MaxPool2d(kernel_size=3, stride=2, padding=1)
# block块
self.layer1 = self._make_layer(block, 64, layers[0])
self.layer2 = self._make_layer(block, 128, layers[1], stride=2)
self.layer3 = self._make_layer(block, 256, layers[2], stride=2)
self.layer4 = self._make_layer(block, 512, layers[3], stride=2)
# output_block
self.layer5 = self._make_out_layer(in_channels=2048)
# 将输出变为30个通道数 7*7*30
self.avgpool = nn.AvgPool2d(2) # kernel_size = 2 , stride = 2
self.conv_end = nn.Conv2d(256, 30, kernel_size=3, stride=1, padding=1, bias=False)
self.bn_end = nn.BatchNorm2d(30)
# 参数初始化
for m in self.modules():
if isinstance(m, nn.Conv2d):
n = m.kernel_size[0] * m.kernel_size[1] * m.out_channels
m.weight.data.normal_(0, math.sqrt(2. / n))
elif isinstance(m, nn.BatchNorm2d):
m.weight.data.fill_(1)
m.bias.data.zero_()
def _make_layer(self, block, planes, blocks, stride=1):
def _make_out_layer(self, in_channels):
def forward(self, x):
# 网络就长这样
x = self.conv1(x)
x = self.bn1(x)
x = self.relu(x)
x = self.maxpool(x)
x = self.layer1(x)
x = self.layer2(x)
x = self.layer3(x)
x = self.layer4(x)
x = self.layer5(x)
x = self.avgpool(x)
x = self.conv_end(x)
x = self.bn_end(x)
x = F.sigmoid(x) # sigmoid归一化到0-1
# 改代码只要保证最后是7,7,30就行
x = x.permute(0, 2, 3, 1) # (-1,7,7,30)
return x关于7x7x30的张量: 7x7是把整张图像分成7x7个 30=(2x4+2x1+20) 其中4代表4个边框坐标信息 x y w h 1代表是否包含需要检测的目标 2代表每个格子上有两个候选框(会拿概率是否包含检测目标概率高的候选框出来用) 20是因为测试的voc2012数据集由20个类别 当1这个概率有大于一个阈值的时候,就会调用20个类别概率中概率最高的那个作为目标检测概率 得到一张图片的7x7x30的张量之后,需要生成目标数据的7x7x30的张量 生成目标数据由于类别概率是确定的,所以1的部分概率均是P概率=1,20部分只有在对应类别概率是P=1,其余都是P=0
一个图片只能有98个检测框(7x7x2),在经过非极大值抑制后剩下的框更少,就容易有漏检。没有更好平衡小目标和大目标损失。
编程未来,从这里启航!解锁无限创意,让每一行代码都成为你通往成功的阶梯,帮助更多人欣赏与学习!