之前介绍的所有的数据结构都是线性存储结构。本章所介绍的树结构是一种非线性存储结构,存储的是具有“一对多”关系的数据元素的集合。

(A) (B)
图 1 树的示例
图 1(A) 是使用树结构存储的集合 {A,B,C,D,E,F,G,H,I,J,K,L,M} 的示意图。对于数据 A 来说,和数据 B、C、D 有关系;对于数据 B 来说,和 E、F 有关系。这就是“一对多”的关系。 将具有“一对多”关系的集合中的数据元素按照图 1(A)的形式进行存储,整个存储形状在逻辑结构上看,类似于实际生活中倒着的树(图 1(B)倒过来),所以称这种存储结构为“树型”存储结构。
结点:使用树结构存储的每一个数据元素都被称为“结点”。例如,图 1(A)中,数据元素 A 就是一个结点; 父结点(双亲结点)、子结点和兄弟结点:对于图 1(A)中的结点 A、B、C、D 来说,A 是 B、C、D 结点的父结点(也称为“双亲结点”),而 B、C、D 都是 A 结点的子结点(也称“孩子结点”)。对于 B、C、D 来说,它们都有相同的父结点,所以它们互为兄弟结点。 树根结点(简称“根结点”):每一个非空树都有且只有一个被称为根的结点。图 1(A)中,结点 A 就是整棵树的根结点。
树根的判断依据为:如果一个结点没有父结点,那么这个结点就是整棵树的根结点。
叶子结点:如果结点没有任何子结点,那么此结点称为叶子结点(叶结点)。例如图 1(A)中,结点 K、L、F、G、M、I、J 都是这棵树的叶子结点。
子树:如图 1(A)中,整棵树的根结点为结点 A,而如果单看结点 B、E、F、K、L 组成的部分来说,也是棵树,而且节点 B 为这棵树的根结点。所以称 B、E、F、K、L 这几个结点组成的树为整棵树的子树;同样,结点 E、K、L 构成的也是一棵子树,根结点为 E。
注意:单个结点也是一棵树,只不过根结点就是它本身。图 1(A)中,结点 K、L、F 等都是树,且都是整棵树的子树。
知道了子树的概念后,树也可以这样定义:树是由根结点和若干棵子树构成的。 空树:如果集合本身为空,那么构成的树就被称为空树。空树中没有结点。
补充:在树结构中,对于具有同一个根结点的各个子树,相互之间不能有交集。例如,图 1(A)中,除了根结点 A,其余元素又各自构成了三个子树,根结点分别为 B、C、D,这三个子树相互之间没有相同的结点。如果有,就破坏了树的结构,不能算做是一棵树。
对于一个结点,拥有的子树数(结点有多少分支)称为结点的度(Degree)。例如,图 1(A)中,根结点 A 下分出了 3 个子树,所以,结点 A 的度为 3。
一棵树的度是树内各结点的度的最大值。图 1(A)表示的树中,各个结点的度的最大值为 3,所以,整棵树的度的值是 3。

结点的层次:从一棵树的树根开始,树根所在层为第一层,根的孩子结点所在的层为第二层,依次类推。对于图 1(A)来说,A 结点在第一层,B、C、D 为第二层,E、F、G、H、I、J 在第三层,K、L、M 在第四层。
一棵树的深度(高度)是树中结点所在的最大的层次。图 1(A)树的深度为 4。
如果两个结点的父结点虽不相同,但是它们的父结点处在同一层次上,那么这两个结点互为堂兄弟。例如,图 1(A)中,结点 G 和 E、F、H、I、J 的父结点都在第二层,所以之间为堂兄弟的关系。
如果树中结点的子树从左到右看,谁在左边,谁在右边,是有规定的,这棵树称为有序树;反之称为无序树。
在有序树中,一个结点最左边的子树称为"第一个孩子",最右边的称为"最后一个孩子"。
拿图 1(A)来说,如果是其本身是一棵有序树,则以结点 B 为根结点的子树为整棵树的第一个孩子,以结点 D 为根结点的子树为整棵树的最后一个孩子。
由 m(m >= 0)个互不相交的树组成的集合被称为森林。图 1(A)中,分别以 B、C、D 为根结点的三棵子树就可以称为森林。 前面讲到,树可以理解为是由根结点和若干子树构成的,而这若干子树本身是一个森林,所以,树还可以理解为是由根结点和森林组成的。用一个式子表示为:
Tree =(root,F)
其中,root 表示树的根结点,F 表示由 m(m >= 0)棵树组成的森林。
除了图 1(A)表示树的方法外,还有其他表示方法:

(A) (B)
图2 树的表示形式
图 2(A)是以嵌套的集合的形式表示的(集合之间绝不能相交,即图中任意两个圈不能相交)。 图 2(B)使用的是凹入表示法(了解即可),表示方式是:最长条为根结点,相同长度的表示在同一层次。例如 B、C、D 长度相同,都为 A 的子结点,E 和 F 长度相同,为 B 的子结点,K 和 L 长度相同,为 E 的子结点,依此类推。 最常用的表示方法是使用广义表的方式。图 1(A)用广义表表示为:
(A , ( B ( E ( K , L ) , F ) , C ( G ) , D ( H ( M ) , I , J ) ) )
树型存储结构类似于家族的族谱,各个结点之间也同样可能具有父子、兄弟、表兄弟的关系。本节中,要重点理解树的根结点和子树的定义,同时要会计算树中各个结点的度和层次,以及树的深度。
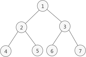
简单地理解,满足以下两个条件的树就是二叉树:
例如,图 1a) 就是一棵二叉树,而图 1b) 则不是。

图 1 二叉树示意图
经过前人的总结,二叉树具有以下几个性质:
性质 3 的计算方法为:对于一个二叉树来说,除了度为 0 的叶子结点和度为 2 的结点,剩下的就是度为 1 的结点(设为 n1),那么总结点 n=n0+n1+n2。 同时,对于每一个结点来说都是由其父结点分支表示的,假设树中分枝数为 B,那么总结点数 n=B+1。而分枝数是可以通过 n1 和 n2 表示的,即 B=n1+2*n2。所以,n 用另外一种方式表示为 n=n1+2*n2+1。 两种方式得到的 n 值组成一个方程组,就可以得出 n0=n2+1。
二叉树还可以继续分类,衍生出满二叉树和完全二叉树。
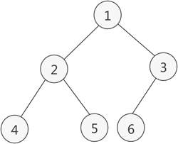
如果二叉树中除了叶子结点,每个结点的度都为 2,则此二叉树称为满二叉树。

图 2 满二叉树示意图
如图 2 所示就是一棵满二叉树。 满二叉树除了满足普通二叉树的性质,还具有以下性质:
如果二叉树中除去最后一层节点为满二叉树,且最后一层的结点依次从左到右分布,则此二叉树被称为完全二叉树。

图 3 完全二叉树示意图
如图 3a) 所示是一棵完全二叉树,图 3b) 由于最后一层的节点没有按照从左向右分布,因此只能算作是普通的二叉树。 完全二叉树除了具有普通二叉树的性质,它自身也具有一些独特的性质,比如说,n 个结点的完全二叉树的深度为 ⌊log2n⌋+1。
⌊log2n⌋ 表示取小于 log2n 的最大整数。例如,⌊log24⌋ = 2,而 ⌊log25⌋ 结果也是 2。
对于任意一个完全二叉树来说,如果将含有的结点按照层次从左到右依次标号(如图 3a)),对于任意一个结点 i ,完全二叉树还有以下几个结论成立:
二叉树的存储结构有两种,分别为顺序存储和链式存储。本节先介绍二叉树的顺序存储结构。 二叉树的顺序存储,指的是使用顺序表(数组)存储二叉树。需要注意的是,顺序存储只适用于完全二叉树。换句话说,只有完全二叉树才可以使用顺序表存储。因此,如果我们想顺序存储普通二叉树,需要提前将普通二叉树转化为完全二叉树。
有读者会说,满二叉树也可以使用顺序存储。要知道,满二叉树也是完全二叉树,因为它满足完全二叉树的所有特征。
普通二叉树转完全二叉树的方法很简单,只需给二叉树额外添加一些节点,将其"拼凑"成完全二叉树即可。如图 1 所示:

图 1 普通二叉树的转化
图 1 中,左侧是普通二叉树,右侧是转化后的完全(满)二叉树。 解决了二叉树的转化问题,接下来学习如何顺序存储完全(满)二叉树。 完全二叉树的顺序存储,仅需从根节点开始,按照层次依次将树中节点存储到数组即可。

图 2 完全二叉树示意图
例如,存储图 2 所示的完全二叉树,其存储状态如图 3 所示:

图 3 完全二叉树存储状态示意图
同样,存储由普通二叉树转化来的完全二叉树也是如此。例如,图 1 中普通二叉树的数组存储状态如图 4 所示:

图 4 普通二叉树的存储状态
由此,我们就实现了完全二叉树的顺序存储。 不仅如此,从顺序表中还原完全二叉树也很简单。我们知道,完全二叉树具有这样的性质,将树中节点按照层次并从左到右依次标号(1,2,3,...),若节点 i 有左右孩子,则其左孩子节点为 2*i,右孩子节点为 2*i+1。此性质可用于还原数组中存储的完全二叉树,也就是实现由图 3 到图 2、由图 4 到图 1 的转变。
本节我们学习二叉树的链式存储结构。

图 1 普通二叉树示意图
如图 1 所示,此为一棵普通的二叉树,若将其采用链式存储,则只需从树的根节点开始,将各个节点及其左右孩子使用链表存储即可。因此,图 1 对应的链式存储结构如图 2 所示:

图 2 二叉树链式存储结构示意图
由图 2 可知,采用链式存储二叉树时,其节点结构由 3 部分构成(如图 3 所示):

图 3 二叉树节点结构
表示该节点结构的 C 语言代码为:
图 2 中的链式存储结构对应的 C 语言代码为:
程序输出结果:
4
其实,二叉树的链式存储结构远不止图 2 所示的这一种。例如,在某些实际场景中,可能会做 "查找某节点的父节点" 的操作,这时可以在节点结构中再添加一个指针域,用于各个节点指向其父亲节点,如图 4 所示:

图 4 自定义二叉树的链式存储结构
这样的链表结构,通常称为三叉链表。
利用图 4 所示的三叉链表,我们可以很轻松地找到各节点的父节点。因此,在解决实际问题时,用合适的链表结构存储二叉树,可以起到事半功倍的效果。
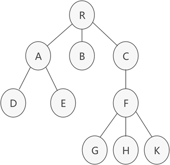
普通树结构的数据。

图 1 普通树存储结构
如图 1 所示,这是一棵普通的树,该如何存储呢?通常,存储具有普通树结构数据的方法有 3 种:
本节先来学习双亲表示法。 双亲表示法采用顺序表(也就是数组)存储普通树,其实现的核心思想是:顺序存储各个节点的同时,给各节点附加一个记录其父节点位置的变量。
注意,根节点没有父节点(父节点又称为双亲节点),因此根节点记录父节点位置的变量通常置为 -1。
例如,采用双亲表示法存储图 1 中普通树,其存储状态如图 2 所示:

图 2 双亲表示法存储普通树示意图
孩子表示法存储普通树采用的是 "顺序表+链表" 的组合结构,其存储过程是:从树的根节点开始,使用顺序表依次存储树中各个节点,需要注意的是,与双亲表示法不同,孩子表示法会给各个节点配备一个链表,用于存储各节点的孩子节点位于顺序表中的位置。
如果节点没有孩子节点(叶子节点),则该节点的链表为空链表。
例如,使用孩子表示法存储图 1a) 中的普通树,则最终存储状态如图 1b) 所示:

图 1 孩子表示法存储普通树示意图
图 1 所示转化为 C 语言代码为:
程序运行结果为:
输入节点数量: 10 输入第 1 个节点的值: R 输入节点 R 的孩子节点数量: 3 输入第 1 个孩子节点在顺序表中的位置1 输入第 2 个孩子节点在顺序表中的位置2 输入第 3 个孩子节点在顺序表中的位置3 输入第 2 个节点的值: A 输入节点 A 的孩子节点数量: 2 输入第 1 个孩子节点在顺序表中的位置4 输入第 2 个孩子节点在顺序表中的位置5 输入第 3 个节点的值: B 输入节点 B 的孩子节点数量: 0 输入第 4 个节点的值: C 输入节点 C 的孩子节点数量: 1 输入第 1 个孩子节点在顺序表中的位置6 输入第 5 个节点的值: D 输入节点 D 的孩子节点数量: 0 输入第 6 个节点的值: E 输入节点 E 的孩子节点数量: 0 输入第 7 个节点的值: F 输入节点 F 的孩子节点数量: 3 输入第 1 个孩子节点在顺序表中的位置7 输入第 2 个孩子节点在顺序表中的位置8 输入第 3 个孩子节点在顺序表中的位置9 输入第 8 个节点的值: G 输入节点 G 的孩子节点数量: 0 输入第 9 个节点的值: H 输入节点 H 的孩子节点数量: 0 输入第 10 个节点的值: K 输入节点 K 的孩子节点数量: 0 找出节点 F 的所有孩子节点:G H K
使用孩子表示法存储的树结构,正好和双亲表示法相反,适用于查找某结点的孩子结点,不适用于查找其父结点。 其实,我们还可以将双亲表示法和孩子表示法合二为一,那么图 1a) 中普通树的存储效果如图 2所示:

图 2 双亲孩子表示法
使用图 2 结构存储普通树,既能快速找到指定节点的父节点,又能快速找到指定节点的孩子节点。该结构的实现方法很简单,只需整合这两节的代码即可,因此不再赘述。
一种常用方法——孩子兄弟表示法。

图 1 普通树示意图
树结构中,位于同一层的节点之间互为兄弟节点。例如,图 1 的普通树中,节点 A、B 和 C 互为兄弟节点,而节点 D、E 和 F 也互为兄弟节点。 孩子兄弟表示法,采用的是链式存储结构,其存储树的实现思想是:从树的根节点开始,依次用链表存储各个节点的孩子节点和兄弟节点。 因此,该链表中的节点应包含以下 3 部分内容(如图 2 所示):

图 2 节点结构示意图
用 C 语言代码表示节点结构为:
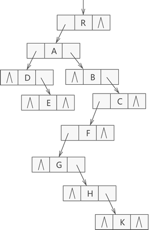
以图 1 为例,使用孩子兄弟表示法进行存储的结果如图 3 所示:

图 3 孩子兄弟表示法示意图
由图 3 可以看到,节点 R 无兄弟节点,其孩子节点是 A;节点 A 的兄弟节点分别是 B 和 C,其孩子节点为 D,依次类推。 实现图 3 中的 C 语言实现代码也很简单,根据图中链表的结构即可轻松完成链表的创建和使用,因此不再给出具体代码。 接下来观察图 1 和图 3。图 1 为原普通树,图 3 是由图 1 经过孩子兄弟表示法转化而来的一棵树,确切地说,图 3 是一棵二叉树。因此可以得出这样一个结论,即通过孩子兄弟表示法,任意一棵普通树都可以相应转化为一棵二叉树,换句话说,任意一棵普通树都有唯一的一棵二叉树于其对应。 因此,孩子兄弟表示法可以作为将普通树转化为二叉树的最有效方法,通常又被称为"二叉树表示法"或"二叉链表表示法"。