通过前面的学习,介绍很多具体的数据结构的存储以及遍历的方式,过程中只是很表面地介绍了数据的存储,而没有涉及到更底层的有关的存储空间的分配与回收,从本节开始将做更深入地介绍。
在使用早期的计算机上编写程序时,有关数据存储在什么位置等这样的问题都是需要程序员自己来给数据分配内存。而现在的高级语言,大大的减少了程序员的工作,不需要直接和存储空间打交道,程序在编译时由编译程序去合理地分配空间。
本章重点解决的问题是:
这里的用户,不是普通意义上的用户,可能是一个普通的变量,一个应用程序,一个命令等等。只要是向系统发出内存申请的,都可以称之为用户。
对于计算机中的内存来说,称已经分配给用户的的内存区统称为“占用块”;还未分配出去的内存区统称为“空闲块”或者“可利用空间块”。
对于初始状态下的内存来说,整个空间都是一个空闲块(在编译程序中称为“堆”)。但是随着不同的用户不断地提出存储请求,系统依次分配。 整个内存区就会分割成两个大部分:低地址区域会产生很多占用块;高地址区域还是空闲块。如图 1 所示:

图 1 动态分配过程中的内存状态
但是当某些用户运行结束,所占用的内存区域就变成了空闲块,如图 2 所示:

图 2 动态分配过程中的内存变化
此时,就形成了占用块和空闲块犬牙交错的状态。当后续用户请求分配内存时,系统有两种分配方式:
合适的空闲块指的是能够满足用户要求的空闲块,具体的查找方式有多种,后续会介绍。
当采用第 2 种方式时,系统需要建立一张记录所有空闲块信息的表。表的形式有两种:目录表和链表。各自的结构如图 3 所示:

图 3 目录表和链表
目录表:表中每一行代表一个空闲块,由三部分组成:
链表:表中每个结点代表一个空闲块,每个结点中需要记录空闲块的使用情况、大小和连接下一个空闲块的指针域。
由于链表中有指针的存在,所以结点中不需要记录各内存块的起始地址。
系统在不同的环境中运行,根据用户申请空间的不同,存储空闲块的可利用空间表有以下不同的结构:
第 2 种情况下容易面临的问题是:如果同用户申请空间大小相同的链表中没有结点时,就需要找结点更大的链表,从中取出一个结点,一部分给用户使用,剩余部分插入到相应大小的链表中;回收时,将释放的空闲块插入到大小相同的链表中去。如果没有比用户申请的内存空间相等甚至更大的结点时,就需要系统重新组织一些小的连续空间,然后给用户使用。
通常情况下系统中的可利用空间表是第 3 种情况。如图 3(C) 所示。由于链表中各结点的大小不一,在用户申请内存空间时,就需要从可利用空间表中找出一个合适的结点,有三种查找的方法:
以上三种方法各有所长:
同时,三种方法中,最佳拟合法相比于其它两种方式,无论是分配过程还是回收过程,都需要遍历链表,所有最费时间。
无论使用以上三种分配方式中的哪一种,最终内存空间都会成为一个一个特别小的内存空间,对于用户申请的空间的需求,单独拿出任何一个结点都不能够满足。 但是并不是说整个内存空间就不够用户使用。在这种情况下,就需要系统在回收的过程考虑将地址相邻的空闲块合并。
在使用边界标识法的系统管理内存时,可利用空间表中的结点的构成如图 1:

图 1 结构构成
每个结点中包含 3 个区域,head 域、foot 域 和 space 域:
注意:head 域和 foot 域在本节中都假设只占用当前存储块的 1 个存储单位的空间,对于该结点整个存储空间来说,可以忽略不计。也就是说,在可利用空间表中,知道下一个结点的首地址,该值减 1 就可以找到当前结点的 foot 域。
使用边界标识法的可利用空间表本身是双向循环链表,每个内存块结点都有指向前驱和后继结点的指针域。
所以,边界标识法管理的内存块结点的代码表示为:
通过以上介绍的结点结构构建的可利用空间表中,任何一个结点都可以作为该链表的头结点(用 pav 表示头结点),当头结点为 NULL 时,即可利用空间表为空,无法继续分配空间。
当用户申请空间时,系统可以采用 3 种分配方法中的任何一种。但在不断地分配的过程中,会产生一些容量极小以至无法利用的空闲块,这些不断生成的小内存块就会减慢遍历分配的速度。
3 种分配方法分别为:首部拟合法、最佳拟合法和最差拟合法。
针对这种情况,解决的措施是:
分配算法的具体实现代码为(采用首部拟合法)
在用户活动完成,系统需要立即回收被用户占用的存储空间,以备新的用户使用。回收算法中需要解决的问题是:在若干次分配操作后,可利用空间块中会产生很多存储空间很小以致无法使用的空闲块。但是经过回收用户释放的空间后,可利用空间表中可能含有地址相邻的空闲块,回收算法需要将这些地址相邻的空闲块合并为大的空闲块供新的用户使用。 合并空闲块有 3 种情况:
判断当前空闲块左右两侧是否为空闲块的方法是:对于当前空闲块 p ,p-1 就是相邻的低地址处的空闲块的 foot 域,如果 foot 域中的 tag 值为 0 ,表明其为空闲块; p+p->size 表示的是高地址处的块的 head 域,如果 head 域中的 tag 值为 0,表明其为空闲块。
如果当前空闲块的左右两侧都不是空闲块,而是占用块,此种情况下只需要将新的空闲块按照相应的规则(头部拟合法随意插入,其它两种方法在对应位置插入)插入到可利用空间表中即可。实现代码为:
如果该空闲块的左侧相邻的块为空闲块,右侧为占用块,处理的方法是:只需要更改左侧空闲块中的 size 的大小,并重新设置左侧空闲块的 foot 域即可(如图 2)。

图 2 空闲块合并(当前块,左侧内存块)
实现代码为:
如果用户释放的内存块的相邻左侧为占用块,右侧为空闲块,处理的方法为:将用户释放掉的存储块替换掉右侧的空闲块,同时更改存储块的 size 和右侧空闲块的 uplink 指针的指向(如图 3 所示)。

图 3 空闲块合并(当前块、右侧内存块)
实现代码为:
如果当前用户释放掉的空闲块,物理位置上相邻的左右两侧的内存块全部为空闲块,需要将 3 个空闲块合并为一个更大的块,操作的过程为:更新左侧空闲块的 size 的值,同时在可利用空间表中摘除右侧空闲块,最后更新合并后的大的空闲块的 foot 域。
此情况和只有左侧有空闲块的情况雷同,唯一的不同点是多了一步摘除右侧相邻空闲块结点的操作。
实现代码为:
纯文本复制伙伴系统本身是一种动态管理内存的方法,和边界标识法的区别是:使用伙伴系统管理的存储空间,无论是空闲块还是占用块,大小都是 2 的 n 次幂(n 为正整数)。 例如,系统中整个存储空间为 2m 个字。那么在进行若干次分配与回收后,可利用空间表中只可能包含空间大小为:20、21、22、…、2m 的空闲块。
字是一种计量单位,由若干个字节构成,不同位数的机器,字所包含的字节数不同。例如,8 位机中一个字由 1 个字节组成;16 位机器一个字由 2 个字节组成。
伙伴系统中可利用空间表中的结点构成如图 1 所示:

图 1 结点构成
header 域表示为头部结点,由 4 部分构成:
代码表示为:
在伙伴系统中,由于系统会不断地接受用户的内存申请的请求,所以会产生很多大小不同但是都是容量为 2m 的内存块,所以为了在分配的时候查找方便,系统采用将大小相同的各自建立一个链表。对于初始容量为 2m 的一整块存储空间来说,形成的链表就有可能有 m+1 个,为了更好的对这些链表进行管理,系统将这 m+1 个链表的表头存储在数组中,就类似于邻接表的结构,如图 2。

图 2 伙伴系统的初始状态
可利用空间表的代码表示为:
伙伴系统的分配算法很简单。假设用户向系统申请大小为 n 的存储空间,若 2k-1 < n <= 2k,此时就需要查看可利用空间表中大小为 2k 的链表中有没有可利用的空间结点:
例如,用户向系统申请一块大小为 7 个字的空间,而系统总的内存为 24 个字,则此时按照伙伴系统的分配算法得出:22 < 7 < 23,所以此时应查看可利用空间表中大小为 23 的链表中是否有空闲结点:

(A)分配前 (B)分配后 图 3 伙伴系统分配过程
无论使用什么内存管理机制,在内存回收的问题上都会面临一个共同的问题:如何把回收的内存进行有效地整合,伙伴系统也不例外。 当用户申请的内存块不再使用时,系统需要将这部分存储块回收,回收时需要判断是否可以和其它的空闲块进行合并。 在寻找合并对象时,伙伴系统和边界标识法不同,在伙伴系统中每一个存储块都有各自的“伙伴”,当用户释放存储块时只需要判断该内存块的伙伴是否为空闲块,如果是则将其合并,然后合并的新的空闲块还需要同其伙伴进行判断整合。反之直接将存储块根据大小插入到可利用空间表中即可。 判断一个存储块的伙伴的位置时,采用的方法为:如果该存储块的起始地址为 p,大小为 2k,则其伙伴所在的起始地址为:

例如,当大小为 28 ,起始地址为 512 的伙伴块的起始地址的计算方式为: 由于 512 MOD 29=0,所以,512+28=768,及如果该存储块回收时,只需要查看起始地址为 768 的存储块的状态,如果是空闲块则两者合并,反之直接将回收的释放块链接到大小为 28 的链表中。
使用伙伴系统进行存储空间的管理过程中,在用户申请空间时,由于大小不同的空闲块处于不同的链表中,所以分配完成的速度会更快,算法相对简单。 回收存储空间时,对于空闲块的合并,不是取决于该空闲块的相邻位置的块的状态;而是完全取决于其伙伴块。
所以即使其相邻位置的存储块时空闲块,但是由于两者不是伙伴的关系,所以也不会合并。这也就是该系统的缺点之一:由于在合并时只考虑伙伴,所以容易产生存储的碎片。
通过前几节对可利用空间表进行动态存储管理的介绍,运行机制可以概括为:
这两部操作都是在用户给出明确的指令后,系统对存储空间进行有效地分配和回收。 但是在实际使用过程中,有时会因为用户申请了空间,但是在使用完成后没有向系统发出释放的指令,导致存储空间既没有被使用也没有被回收,变为了无用单元或者会产生悬挂访问的问题。 什么是无用单元?简单来讲,无用单元是一块用户不再使用,但是系统无法回收的存储空间。例如在C语言中,用户可以通过 malloc 和 free 两个功能函数来动态申请和释放存储空间。当用户使用 malloc 申请的空间使用完成后,没有使用 free 函数进行释放,那么该空间就会成为无用单元。 悬挂访问也很好理解:假设使用 malloc 申请了一块存储空间,有多个指针同时指向这块空间,当其中一个指针完成使命后,私自将该存储空间使用 free 释放掉,导致其他指针处于悬空状态,如果释放掉的空间被再分配后,再通过之前的指针访问,就会造成错误。数据结构中称这种访问为悬挂访问。

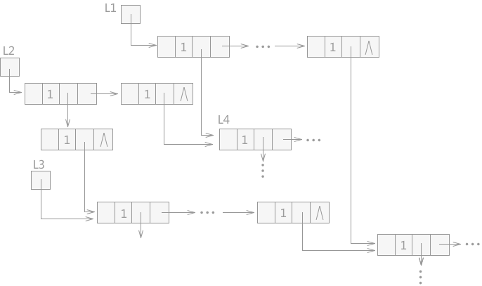
图 1 含有共享子表的广义表
在含有共享子表的广义表中,也可能会产生无用单元。例如图 1 中,L1、L2 和 L3 分别为三个广义表的表头指针,L4 为 L1 和 L2 所共享,L3 是 L2 的子表,L5 为 L1、L2 和 L3 三个广义表所共享。 在图 1 的基础上,假设表 L1 不再使用,而 L2 和 L3 还在使用,若释放表 L1,L1 中的所有结点所占的存储空间都会被释放掉,L2 和 L3 中由于同样包含 L1 中的结点,两个表会被破坏,某些指针会产生悬挂访问的错误; 而如果 L1 表使用完成后不及时释放,L1 中独自占用的结点由于未被释放,系统也不会回收,就会成为无用单元。 解决存储空间可能成为无用单元或者产生悬挂访问的方法有两个:
第一种方法非常简单,下面主要介绍第二种方法的具体实现。
第二种方法中,在程序运行过程中很难找出此时哪些存储空间是空闲的。解决这个问题的办法是:找当前正在被占用的存储空间,只需要从当前正在工作的指针变量出发依次遍历,就可以找到当前正在被占用的存储空间,剩余的自然就是此时处于空闲状态的存储空间。 如果想使用第二种方式,可以分为两步进行:
对正在被占用的存储空间进行标记的方法有三种:
递归和非递归方式在前面章节做过详细介绍,第三种实现方式中代替栈的方法是:添加三个指针,p 指针指向当前遍历的结点,t 指针永远指向 p 的父结点,q 指向 p 结点的表头或者表尾结点。在遍历过程遵循以下原则: 当 q 指针指向 p 的表头结点时,可能出现 3 种情况:
当 q 指针指向 p 的表尾结点时,可能出现 2 种情况:
由于 t 结点的回退路径分别记录在结点的 hp 域或者 tp 域中,在回退时需要根据 tag 的值来判断:如果 tag 值为 0 ,t 结点通过指向自身 hp 域的结点进行回退;反之,t 结点通过指向其 tp 域的结点进行回退。

图 2 待遍历的广义表
例如,图 2 中为一个待遍历的广义表,其中每个结点的结构如图 3 所示:

图 3 广义表中各结点的结构
在遍历如图 2 中的广义表时,从广义表的 a 结点开始,则 p 指针指向结点 a,同时 a 结点中 mark 域设置为 1,表示已经遍历过,t 指针为 nil,q 指针指向 a 结点的表头结点,初始状态如图 4 所示:

图 4 遍历广义表的初始状态
由于 q 指针指向的结点 b 的 tag 值为 1,表示该结点为表结构,所以此时 p 指向 q,q 指向结点 c,同时 t 指针下移,在 t 指针指向结点 a 之前,a 结点中的 hp 域指向 t,同时 a 结点中 tag 值设为 0。效果如图 5 所示:

图 5 遍历广义表(2)
通过 q 指针指向的结点 c 的 tag=1,判断该结点为表结点,同样 p 指针指向 c,q 指针指向 d,同时 t 指针继续下移,在 t 指针指向 结点 b 之前,b 结点的 tag 值更改为 0,同时 hp 域指向结点 a,效果图如图 6 所示:

图 6 遍历广义表(3)
通过 q 指针指向的结点 d 的 tag=0,所以,该结点为原子结点,此时根据遵循的原则,只需要将 q 指针指向的结点 d 的 mark 域标记为 1,然后让 q 指针直接指向 p 指针指向结点的表尾结点,效果图如图 7 所示:

图 7 遍历广义表(4)
当 q 指针指向 p 指针的表尾结点时,同时 q 指针为空,这种情况的下一步操作为 p 指针和 t 指针全部上移动,即 p 指针指向结点 b,同时 t 指针根据 b 结点的 hp 域回退到结点 a。同时由于结点 b 的tag 值为 0,证明之前遍历的是表头,所以还需要遍历 b 结点的表尾结点,同时将结点 b 的 tag 值改为 1。效果图如图 8 所示:

图 8 遍历广义表(5)
由于 q 指针指向的 e 结点为表结点,根据 q 指针指向的 e 结点是 p 指针指向的 b 结点的表尾结点,所以所做的操作为:p 指针和 t 指针在下移之前,令 p 指针指向的结点 b 的 tp 域指向结点 a,然后给 t 赋值 p,p 赋值 q。q 指向 q 的表头结点 f。效果如图 9 所示:

图 9 遍历广义表(6)
由于 q 指针指向的结点 f 为原子结点,所以直接 q 指针的 mark 域设为 1 后,直接令 q 指针指向 p 指针指向的 e 结点的表尾结点。效果如图 10 所示:

图 10 遍历广义表(7)
由于 p 指针指向的 e 结点的表尾结点为空,所以 p 指针和 t 指针都回退。由于 p 指针指向的结点 b 的 tag 值为 1,表明表尾已经遍历完成,所以 t 指针和 p 指针继续上移,最终遍历完成。
无用单元的收集可以采用以上 3 中算法中任何一种。无论使用哪种算法,无用单元收集本身都是很费时间的,所以无用单元的收集不适用于实时处理的情况中使用。
前边介绍的有关动态内存管理的方法,无论是边界标识法还是伙伴系统,但是以将空闲的存储空间链接成一个链表,即可利用空间表,对存储空间进行分配和回收。 本节介绍另外一种动态内存管理的方法,使用这种方式在整个内存管理过程中,不管哪个时间段,所有未被占用的空间都是地址连续的存储区。
这些地址连续的未被占用的存储区在编译程序中称为堆。


图 1 存储区状态
假设存储区的初始状态如图 1 所示,若采用本节介绍的方法管理这块存储区,当 B 占用块运行完成同时所占的存储空间释放后,存储区的状态应如图 2 所示:

图 2 更新后的存储区状态
在分配内存空间时,每次都从可利用空间中选择最低(或者最高)的地址进行分配。具体的实现办法为:设置一个指针(称为堆指针),每次用户申请存储空间时,都是堆的最低(或者最高)地址进行分配。假设当用户申请 N 个单位的存储空间时,堆指针向高地址(或者低地址)移动 N 个存储单位,这 N 个存储单位即为分配给用户使用的空闲块,空闲块的起始地址为堆指针移动之前所在的地址。 例如,某一时间段有四个用户(A、B、C、D)分别申请 12 个单位、6 个单位、10 个单位和 8 个单位的存储空间,假设此时堆指针的初值为 0。则分配后存储空间的效果为:

由于系统中的可利用空间始终都是一个连续的存储空间,所以回收时必须将用户释放的存储块合并到这个堆上才能够重新使用。 存储紧缩有两种做法:
具体的实现过程是:
最后,还要将堆指针赋以新的值。
存储紧缩较之无用单元收集更为复杂,是一个系统的操作,如果不是非不得已不建议使用。