
本文介绍的是一种新的清晰度评价算子,整数微分算子+分数微分算子
目前在数字图像清晰度评价函数中常用的评价函数包括三类:灰度梯度评价函数、频域函数和统计学函数,其中灰度梯度评价函数具有计算简单,评价效果好等优点.经典清晰度评价函数和大多数改进的图像清晰度评价函数在评价过程中较少考虑噪音影响,从而使图像清晰度评价函数出现评价不准,甚至出现多峰等现象,影响自动聚焦效果。
由于边缘像素的灰度变化短促,可以采用一阶微分和二阶微分来反映这种局部变化,分数微分运算可以大幅提升图像边缘和纹理细节信息,同时非线性成分有所保留,且提取的边缘信息能避免产生较大的噪声目前的分数微分算子主要是0阶~1阶和1阶~2阶,其中0阶~1阶的分数微分算子模板为5×5甚至更大,参与计算的像素过多,计算量太大;而根据1阶~2阶微分的定义容易构造3×3模板的梯度算子且同样具有检测纹理信息的优点。
将1阶~2阶分数微分与整数微分相结合,构造出一种新的聚焦评价函数。

Laplace算子函数

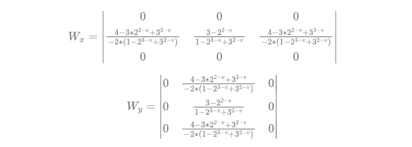
分数微分卷积算子:

利用整数微分求图像边缘部分的梯度值基础上,加上分数微分求取边缘及纹理细节部分的梯度值,清晰度评价函数为
整数微分算子如下:

K1 为0.618,K2为0.3382
v为分数微分阶数(1<v<2,本文v取1.7)
通过一组清晰度渐进的数据对比清晰度评价效果,评价算子进行数值归一化,效果如下
噪声较大的情况下,Laplace效果不佳,微分算子勉强能用,EOG相对较好。

《一种可用于纤维图像的聚焦评价函数》