
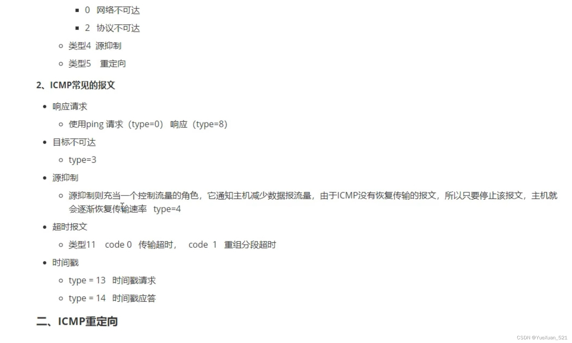
■0网络不可达 ■2协议不可达 类型4源抑制 类型5重定向
使用 ping 请求( type =0)响应( type =8)
type =3
源抑制则充当一个控制流量的角色,它通知主机减少数据报流量,由于 ICMP 没有恢复传输的报文,所以只要停止该报文,主机就会逐渐恢复传输速率 type =4
类型11 code 0 传输超时, code 1重组分段超时
type =13 时间戳请求 type =14 时间戳应答

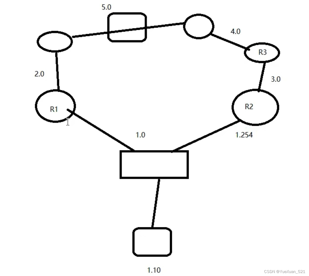
在某些特定情况下,路由器检测到主机使非优化路由时候,会向主机发送一个 ICMP 重定向报文,是主机的路由改变



