
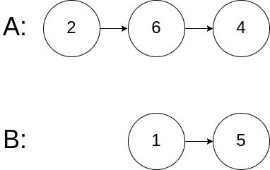
简单来说,链表就是通过指针串联起来的线性结构,每个节点由两部分构成,值域与指针域。指针域内存放的是下一个节点的内存地址。

大家都知道,数组在内存中的空间是连续的。但是链表不是,链表通过,每个指针的指针域,链接每个节点在内存中的位置。

以上说的就是单链表!
单链表中,每个节点只存放一个数据域与一个指针域(内部存放下一个节点的位置)。
而双链表中,每一个节点存放一个数据域与两个指针域,一个指针域存放的是上一个节点的地址,另一个指针域存放的是下一个节点的地址,这样,就能同时向两侧进行查询。

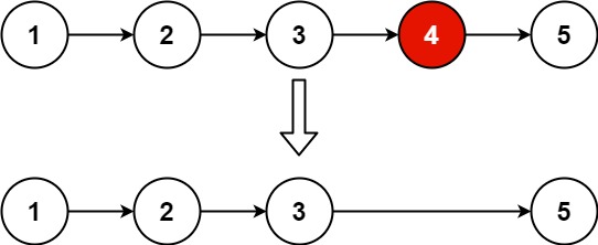
简单解释就是,单链表形成了环。

struct ListNode{
int val;
ListNode* next;
ListNode():val(0),next(nullptr){};
ListNode(int x):val(x),next(nullptr){};
};ListNode* cur1 = new ListNode(2);
ListNode* cur2 = new ListNode();
cur2->val = 2; // (*cur2).val = 2;// 定义双向链表节点结构体
struct ListNode {
int val;
ListNode* prev; // 指向前一个节点的指针
ListNode* next; // 指向后一个节点的指针
ListNode() : val(0), prev(nullptr), next(nullptr) {}
ListNode(int x) : val(x), prev(nullptr), next(nullptr) {}
};其实这才是重点!哈哈STL库!我最喜欢用了!接下来,就好好的说一下stl!
<list>是C++标准模板库中的一个序列容器。可以不用向<vector>一样,在创建时指定大小。
优点是删除、插入为O(1),缺点是查找速度是O(N)
以下是简单的增删改查的运用。
#include <list>
#include <algorithm>
#include <iostream>
using namespace std;
int main(){
list<int> l;
// 增
l.push_back(2);
l.push_front(1);
// 查
for(int i:l) cout<<i;cout<<endl;
for(auto it= l.begin(); it!=l.end(); ++it) cout<<*it<<endl;
// 改 - 遍历的时候修改
// 删
// 结合这迭代器删
auto it = find(l.begin(),l.end(),3);
if(it!=l.end()) l.erase(it); // 必须要判断一下
for(auto it= l.begin(); it!=l.end(); ++it) {
if(*it==3)
l.erase(it); // 当然也能这样删除一下
}
// 引入remove删,直接删除所有
l.remove(3);
// 头删、尾删
l.pop_front();
l.pop_back();
return 0;
}好吧,当我写完之后,发现我又不是那么喜欢它了!(┬┬﹏┬┬),好像也不是那么好用。相比于<vector>。
4、两两交换链表中的节点-(解析)-优雅运用临时节点
5、删除链表的倒数第 N 个结点-(解析)-双指针用法
7、环形链表 II-(解析)-数学思维,Floyed判圈(龟兔赛跑),初步洞悉算法
8、左移右移 -(解析)-蓝桥真题,运用struct与数组,跳出链条问题
( •̀ ω •́ )✧点击这里,继续学习其他模块吧!
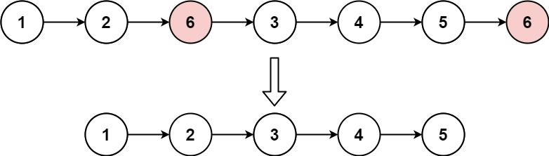
给你一个链表的头节点 head 和一个整数 val ,请你删除链表中所有满足 Node.val == val 的节点,并返回 新的头节点 。
示例 1:

输入:head = [1,2,6,3,4,5,6], val = 6
输出:[1,2,3,4,5]示例 2:
输入:head = [], val = 1
输出:[]示例 3:
输入:head = [7,7,7,7], val = 7
输出:[]提示:
[0, 104] 内1 <= Node.val <= 500 <= val <= 50/**
* Definition for singly-linked list.
* struct ListNode {
* int val;
* ListNode *next;
* ListNode() : val(0), next(nullptr) {}
* ListNode(int x) : val(x), next(nullptr) {}
* ListNode(int x, ListNode *next) : val(x), next(next) {}
* };
*/
class Solution {
// 设置一个虚拟节点,可以事半功倍
public:
ListNode* removeElements(ListNode* head, int val) {
// 整理一个虚拟头节点
ListNode* curHead = new ListNode(-1);
curHead->next = head;
ListNode* cur = curHead;
while(cur->next!=nullptr){
if(cur->next->val==val) cur->next=cur->next->next;
else cur=cur->next;
}
return curHead->next;
}
};你可以选择使用单链表或者双链表,设计并实现自己的链表。
单链表中的节点应该具备两个属性:val 和 next 。val 是当前节点的值,next 是指向下一个节点的指针/引用。
如果是双向链表,则还需要属性 prev 以指示链表中的上一个节点。假设链表中的所有节点下标从 0 开始。
实现 MyLinkedList 类:
MyLinkedList() 初始化 MyLinkedList 对象。int get(int index) 获取链表中下标为 index 的节点的值。如果下标无效,则返回 -1 。void addAtHead(int val) 将一个值为 val 的节点插入到链表中第一个元素之前。在插入完成后,新节点会成为链表的第一个节点。void addAtTail(int val) 将一个值为 val 的节点追加到链表中作为链表的最后一个元素。void addAtIndex(int index, int val) 将一个值为 val 的节点插入到链表中下标为 index 的节点之前。如果 index 等于链表的长度,那么该节点会被追加到链表的末尾。如果 index 比长度更大,该节点将 不会插入 到链表中。void deleteAtIndex(int index) 如果下标有效,则删除链表中下标为 index 的节点。示例:
输入
["MyLinkedList", "addAtHead", "addAtTail", "addAtIndex", "get", "deleteAtIndex", "get"]
[[], [1], [3], [1, 2], [1], [1], [1]]
输出
[null, null, null, null, 2, null, 3]
解释
MyLinkedList myLinkedList = new MyLinkedList();
myLinkedList.addAtHead(1);
myLinkedList.addAtTail(3);
myLinkedList.addAtIndex(1, 2); // 链表变为 1->2->3
myLinkedList.get(1); // 返回 2
myLinkedList.deleteAtIndex(1); // 现在,链表变为 1->3
myLinkedList.get(1); // 返回 3提示:
0 <= index, val <= 1000get、addAtHead、addAtTail、addAtIndex 和 deleteAtIndex 的次数不超过 2000 。class MyLinkedList { // 创建一个链表,真为链表
public:
struct LinkedList{ // 创建节点
int val;
LinkedList* next;
LinkedList():val(0),next(nullptr){}
LinkedList(int x): val(x),next(nullptr){}
LinkedList(int x,LinkedList* next): val(x),next(next){}
};
MyLinkedList() { // 初始化用的
_dummyHead = new LinkedList(0); // 首元节点
size = 0;
}
int get(int index) {
if(index>=size){
return -1;
}
LinkedList* _dummyCur = _dummyHead;
while(index--){
_dummyCur = _dummyCur->next;
}
return _dummyCur->next->val;
}
void addAtHead(int val) {
LinkedList* cur = new LinkedList(val); // 创建临时节点
cur->next = _dummyHead->next;
_dummyHead->next = cur;
size++;
}
void addAtTail(int val) {
LinkedList* cur = new LinkedList(val); // 创建临时节点
LinkedList* _dummyCur = _dummyHead;
while(_dummyCur->next != nullptr){
_dummyCur=_dummyCur->next;
}
_dummyCur->next = cur;
size++;
}
void addAtIndex(int index, int val) {
if(index>=size){ // 如果,长度与index相等的情况下
if(index==size) addAtTail(val);
return;
}
LinkedList* cur = new LinkedList(val); // 创建临时节点
LinkedList* _dummyCur = _dummyHead;
while(index--){ // 换位置
_dummyCur=_dummyCur->next;
}
// 插
cur->next = _dummyCur->next;
_dummyCur->next = cur;
size++;
}
void deleteAtIndex(int index) {
if(index>=size) return; // 无效
LinkedList* _dummyCur = _dummyHead;
while(index--){
_dummyCur=_dummyCur->next;
}
_dummyCur->next= _dummyCur->next->next; // 直接跳过
size--;
}
private: // 创建本函数中,宏观上需要的东西
int size;
LinkedList* _dummyHead;
};
/**
* Your MyLinkedList object will be instantiated and called as such:
* MyLinkedList* obj = new MyLinkedList();
* int param_1 = obj->get(index);
* obj->addAtHead(val);
* obj->addAtTail(val);
* obj->addAtIndex(index,val);
* obj->deleteAtIndex(index);
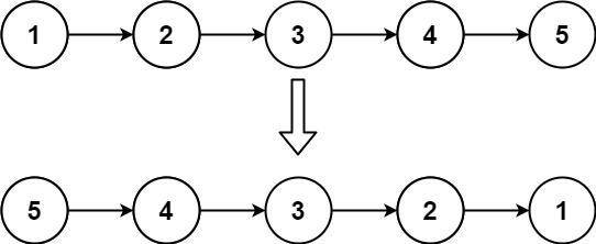
*/给你单链表的头节点 head ,请你反转链表,并返回反转后的链表。
示例 1:

输入:head = [1,2,3,4,5]
输出:[5,4,3,2,1]示例 2:

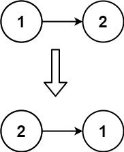
输入:head = [1,2]
输出:[2,1]示例 3:
输入:head = []
输出:[]提示:
[0, 5000]-5000 <= Node.val <= 5000进阶:链表可以选用迭代或递归方式完成反转。你能否用两种方法解决这道题?
/**
* Definition for singly-linked list.
* struct ListNode {
* int val;
* ListNode *next;
* ListNode() : val(0), next(nullptr) {}
* ListNode(int x) : val(x), next(nullptr) {}
* ListNode(int x, ListNode *next) : val(x), next(next) {}
* };
*/
class Solution {
// 其实就是临时节点的运用
public:
ListNode* reverseList(ListNode* head) { // 其实挺简单的,但是为啥我就想这么久呢
ListNode* cur = head;
ListNode* temp1 = nullptr;
ListNode* temp2 = nullptr;
while(cur!=nullptr){
temp1 = cur->next;
cur->next = temp2;
temp2 = cur;
cur = temp1;
}
return temp2;
}
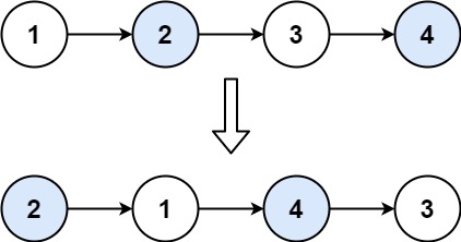
};给你一个链表,两两交换其中相邻的节点,并返回交换后链表的头节点。你必须在不修改节点内部的值的情况下完成本题(即,只能进行节点交换)。
示例 1:

输入:head = [1,2,3,4]
输出:[2,1,4,3]示例 2:
输入:head = []
输出:[]示例 3:
输入:head = [1]
输出:[1]提示:
[0, 100] 内0 <= Node.val <= 100/**
* Definition for singly-linked list.
* struct ListNode {
* int val;
* ListNode *next;
* ListNode() : val(0), next(nullptr) {}
* ListNode(int x) : val(x), next(nullptr) {}
* ListNode(int x, ListNode *next) : val(x), next(next) {}
* };
*/
class Solution {
public:
ListNode* swapPairs(ListNode* head) { // 建立几个临时变量存储
// 这两步,是基操
ListNode* dummyCur = new ListNode(0);
dummyCur->next = head;
ListNode* cur = dummyCur;
ListNode* temp1 = nullptr;
ListNode* temp2 = nullptr;
while(cur->next!=nullptr&&cur->next->next!=nullptr){
temp1 = cur->next;
temp2 = cur->next->next;
temp1->next = temp2->next;
temp2->next = temp1;
cur->next = temp2;
cur = temp1;
}
return dummyCur->next;
}
};给你一个链表,删除链表的倒数第 n 个结点,并且返回链表的头结点。
示例 1:

输入:head = [1,2,3,4,5], n = 2
输出:[1,2,3,5]示例 2:
输入:head = [1], n = 1
输出:[]示例 3:
输入:head = [1,2], n = 1
输出:[1]提示:
sz1 <= sz <= 300 <= Node.val <= 1001 <= n <= sz进阶:你能尝试使用一趟扫描实现吗?
/**
* Definition for singly-linked list.
* struct ListNode {
* int val;
* ListNode *next;
* ListNode() : val(0), next(nullptr) {}
* ListNode(int x) : val(x), next(nullptr) {}
* ListNode(int x, ListNode *next) : val(x), next(next) {}
* };
*/
class Solution {
// 简单运用双指针法
public:
ListNode* removeNthFromEnd(ListNode* head, int n) { // 要想一趟实现,双指针法
ListNode* dummyHead = new ListNode(0);
dummyHead->next = head;
ListNode* cur = dummyHead;
ListNode* left = dummyHead;
n = n+1;
while(n--) cur = cur->next;
while(cur!=nullptr){
left = left->next;
cur = cur->next;
}
left->next = left->next->next;
return dummyHead->next;
}
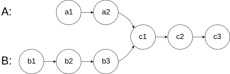
};给你两个单链表的头节点 headA 和 headB ,请你找出并返回两个单链表相交的起始节点。如果两个链表没有交点,返回 null 。
图示两个链表在节点 c1 开始相交:

题目数据 保证 整个链式结构中不存在环。
注意,函数返回结果后,链表必须 保持其原始结构 。
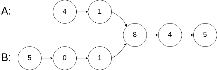
示例 1:

输入:intersectVal = 8, listA = [4,1,8,4,5], listB = [5,0,1,8,4,5], skipA = 2, skipB = 3
输出:Intersected at '8'
解释:相交节点的值为 8 (注意,如果两个链表相交则不能为 0)。
从各自的表头开始算起,链表 A 为 [4,1,8,4,5],链表 B 为 [5,0,1,8,4,5]。
在 A 中,相交节点前有 2 个节点;在 B 中,相交节点前有 3 个节点。示例 2:

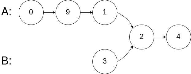
输入:intersectVal = 2, listA = [0,9,1,2,4], listB = [3,2,4], skipA = 3, skipB = 1
输出:Intersected at '2'
解释:相交节点的值为 2 (注意,如果两个链表相交则不能为 0)。
从各自的表头开始算起,链表 A 为 [0,9,1,2,4],链表 B 为 [3,2,4]。
在 A 中,相交节点前有 3 个节点;在 B 中,相交节点前有 1 个节点。示例 3:

输入:intersectVal = 0, listA = [2,6,4], listB = [1,5], skipA = 3, skipB = 2
输出:null
解释:从各自的表头开始算起,链表 A 为 [2,6,4],链表 B 为 [1,5]。
由于这两个链表不相交,所以 intersectVal 必须为 0,而 skipA 和 skipB 可以是任意值。
这两个链表不相交,因此返回 null 。提示:
listA 中节点数目为 mlistB 中节点数目为 n0 <= m, n <= 3 * 1041 <= Node.val <= 1050 <= skipA <= m0 <= skipB <= nlistA 和 listB 没有交点,intersectVal 为 0listA 和 listB 有交点,intersectVal == listA[skipA + 1] == listB[skipB + 1]/**
* Definition for singly-linked list.
* struct ListNode {
* int val;
* ListNode *next;
* ListNode(int x) : val(x), next(NULL) {}
* };
*/
// 这压根就是一道数学题,一道数学思想
// 还有指针变换时,地址会改变的细节(┬┬﹏┬┬)
/*
大概意思就是,
一个指针走了 a+c+b的长度
另一个指针,走了 b+c+a 的长度
最后一定会相交
*/
class Solution {
public:
ListNode *getIntersectionNode(ListNode *headA, ListNode *headB) { // 其实这个应该也挺好写的
ListNode* a = headA; ListNode* b = headB;
while(headA!=headB){ // a与b一直在改变
headA = headA!=nullptr ? headA->next : b;
headB = headB!=nullptr ? headB->next : a;
}
return headA;
}
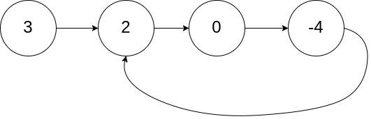
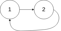
};给定一个链表的头节点 head ,返回链表开始入环的第一个节点。 如果链表无环,则返回 null。
如果链表中有某个节点,可以通过连续跟踪 next 指针再次到达,则链表中存在环。 为了表示给定链表中的环,评测系统内部使用整数 pos 来表示链表尾连接到链表中的位置(索引从 0 开始)。如果 pos 是 -1,则在该链表中没有环。注意:pos 不作为参数进行传递,仅仅是为了标识链表的实际情况。
不允许修改 链表。
示例 1:

输入:head = [3,2,0,-4], pos = 1
输出:返回索引为 1 的链表节点
解释:链表中有一个环,其尾部连接到第二个节点。示例 2:

输入:head = [1,2], pos = 0
输出:返回索引为 0 的链表节点
解释:链表中有一个环,其尾部连接到第一个节点。示例 3:

输入:head = [1], pos = -1
输出:返回 null
解释:链表中没有环。提示:
[0, 104] 内-105 <= Node.val <= 105pos 的值为 -1 或者链表中的一个有效索引进阶:你是否可以使用 O(1) 空间解决此题?
/**
* Definition for singly-linked list.
* struct ListNode {
* int val;
* ListNode *next;
* ListNode(int x) : val(x), next(NULL) {}
* };
*/
class Solution {
// 涉及数学思想,数学的推理过程-->Floyd 判圈算法(也称为龟兔赛跑算法),如果搜的化,直接问数学思想
// 当然,本题也能用哈希方式解决
public:
ListNode *detectCycle(ListNode *head) {
// 涉及快慢指针
ListNode* fast = head;
ListNode* slow = head;
while(fast!=nullptr&&fast->next!=nullptr){
fast = fast->next->next;
slow = slow->next;
if(fast==slow) break;
}
if(fast==nullptr||fast->next==nullptr) return nullptr;
ListNode* ptr = head;
while(ptr!=slow){
ptr=ptr->next;
slow=slow->next;
}
return ptr;
}
};八、
1. 左移右移
问题描述
小蓝有一个长度为 NN 的数组, 初始时从左到右依次是 1,2,3,…N1,2,3,…N 。
之后小蓝对这个数组进行了 MM 次操作, 每次操作可能是以下 2 种之一:
请你回答经过 MM 次操作之后, 数组从左到右每个数是多少?
输入格式
第一行包含 2 个整数, NN 和 MM 。
以下 MM 行每行一个操作, 其中 “L xx "表示左移 x,"Rxx,"Rx "表示右移 xx 。
输出格式
输出 NN 个数, 代表操作后的数组。
样例输入
样例输出
2 3 4 5 1样例说明
样例中的数组变化如下:
[1,2,3,4,5]→[3,1,2,4,5]→[2,3,1,4,5]→[2,3,4,5,1][1,2,3,4,5]→[3,1,2,4,5]→[2,3,1,4,5]→[2,3,4,5,1]
评测用例规模与约定
对于 50%50% 的评测用例, 1≤N,M≤100001≤N,M≤10000.
对于 100%100% 的评测用例, 1≤N,M≤200000,1≤x≤N1≤N,M≤200000,1≤x≤N.
运行限制
/**
* Definition for singly-linked list.
* struct ListNode {
* int val;
* ListNode *next;
* ListNode(int x) : val(x), next(NULL) {}
* };
*/
class Solution {
// 涉及数学思想,数学的推理过程-->Floyd 判圈算法(也称为龟兔赛跑算法),如果搜的化,直接问数学思想
// 当然,本题也能用哈希方式解决
public:
ListNode *detectCycle(ListNode *head) {
// 涉及快慢指针
ListNode* fast = head;
ListNode* slow = head;
while(fast!=nullptr&&fast->next!=nullptr){
fast = fast->next->next;
slow = slow->next;
if(fast==slow) break;
}
if(fast==nullptr||fast->next==nullptr) return nullptr;
ListNode* ptr = head;
while(ptr!=slow){
ptr=ptr->next;
slow=slow->next;
}
return ptr;
}
};问题描述
小蓝有一个长度为 NN 的数组, 初始时从左到右依次是 1,2,3,…N1,2,3,…N 。
之后小蓝对这个数组进行了 MM 次操作, 每次操作可能是以下 2 种之一:
请你回答经过 MM 次操作之后, 数组从左到右每个数是多少?
输入格式
第一行包含 2 个整数, NN 和 MM 。
以下 MM 行每行一个操作, 其中 “L xx "表示左移 x,"Rxx,"Rx "表示右移 xx 。
输出格式
输出 NN 个数, 代表操作后的数组。
样例输入
5 3
L 3
L 2
R 1样例输出
2 3 4 5 1样例说明
样例中的数组变化如下:
[1,2,3,4,5]→[3,1,2,4,5]→[2,3,1,4,5]→[2,3,4,5,1][1,2,3,4,5]→[3,1,2,4,5]→[2,3,1,4,5]→[2,3,4,5,1]
评测用例规模与约定
对于 50%50% 的评测用例, 1≤N,M≤100001≤N,M≤10000.
对于 100%100% 的评测用例, 1≤N,M≤200000,1≤x≤N1≤N,M≤200000,1≤x≤N.
运行限制
import java.util.Scanner;
public class ArrayManipulation {
public static void main(String[] args) {
// 创建 Scanner 对象用于从标准输入读取数据
Scanner scanner = new Scanner(System.in);
// 读取数组的长度 n 和操作的次数 m
int n = scanner.nextInt();
int m = scanner.nextInt();
// 定义操作结构体数组,这里用两个数组来模拟结构体的功能
// 一个数组存储操作的方向(字符 'L' 或 'R')
char[] directions = new char[m];
// 一个数组存储操作对应的数字
int[] numbers = new int[m];
// 读取 m 次操作,将操作方向和对应的数字分别存储到相应数组中
for (int i = 0; i < m; i++) {
directions[i] = scanner.next().charAt(0);
numbers[i] = scanner.nextInt();
}
// 标记数组,用于标记某个数字是否已经被处理过
boolean[] flag = new boolean[n + 1];
// 结果数组,用于存储最终操作后的数组元素
int[] res = new int[n];
// 左指针,用于从结果数组的左边开始填充元素
int st = 0;
// 右指针,用于从结果数组的右边开始填充元素
int en = n - 1;
// 逆向遍历操作数组,这样可以确保最后一次操作的元素优先被处理
// 因为最后一次操作对元素位置的影响是最终有效的
for (int i = m - 1; i >= 0; i--) {
int num = numbers[i];
// 如果该数字已经被处理过,跳过本次操作
if (flag[num]) {
continue;
}
// 如果操作方向是 'L',表示左移操作
if (directions[i] == 'L') {
// 将该数字放到结果数组的左边,然后左指针右移一位
res[st++] = num;
} else {
// 如果操作方向是 'R',表示右移操作
// 将该数字放到结果数组的右边,然后右指针左移一位
res[en--] = num;
}
// 标记该数字已经被处理过
flag[num] = true;
}
// 遍历从 1 到 n 的所有数字,将未被操作过的数字按顺序添加到结果数组中
for (int i = 1; i <= n; i++) {
if (!flag[i]) {
res[st++] = i;
}
}
// 输出结果数组,元素之间用空格分隔,最后一个元素后面不跟空格
for (int i = 0; i < n - 1; i++) {
System.out.print(res[i] + " ");
}
System.out.print(res[n - 1]);
// 关闭 Scanner 对象,释放资源
scanner.close();
}
}#include <iostream>
using namespace std;
// 且看,本题是如何绕开权重,思考问题的(┬┬﹏┬┬),受教了
// 将每一步操作,存起来,后续满满释放的
const int N = 1e6+5;
// 全局变量自带初始化
struct Op{
char c;
int num;
}op[N];
bool flag[N]; // 表示是否标记过
int res[N]; // 存放结果
int main(){
int n,m;
cin>>n>>m;
for(int i=0; i<m; ++i){ // 存放
cin>>op[i].c>>op[i].num;
}
int st=0,en=n-1;
for(int i=m-1; i>=0; --i){ // 逆向思维,破解权重问题
if(flag[op[i].num]) continue;
if(op[i].c=='L') res[st++]=op[i].num;
else res[en--]=op[i].num;
flag[op[i].num] = true; // 表示已经遍历过
}
for(int i=1; i<=n; ++i){
if(!flag[i]) res[st++]=i;
}
for(int i=0; i<n-1; ++i){
cout<<res[i]<<" ";
}
cout<<res[n-1];
return 0;
}借鉴博客:
3、链表理论基础
5、什么是算法
( •̀ ω •́ )✧点击这里,继续学习其他模块吧!