
前言:牛客网和LeetCode的刷题都不可或缺,我们都要做一做,无论是参加竞赛还是笔试面试,至少能提升你的代码能力!洛谷的题目也可以去做一做。力扣的题目对提升代码能力很有帮助,需要有一点基础,几乎都是接口型的题目,关于接口型和IO型的区别我们在本专栏的第一篇【LeetCode】力扣题——轮转数组、消失的数字、数组串联中就介绍过了,这里不再赘述,我们进入今天的力扣题目介绍——
博主题解链接:若根节点root非空,让root跟左右孩子节点的值进行比较
题目描述:

题目示例和提示——


我们的思路是:根左右,若根节点root非空,让root跟左右孩子节点的值进行比较。

/**
* Definition for a binary tree node.
* struct TreeNode {
* int val;
* struct TreeNode *left;
* struct TreeNode *right;
* };
*/
bool isUnivalTree(struct TreeNode* root) {
if(root == NULL)
{
return true;
}
//根节点root非空,root跟左右孩子节点的值进行比较
if(root->left && root->left->val != root->val)
{
return false;
}
if(root->right && root->right->val != root->val)
{
return false;
}
return isUnivalTree(root->left) && isUnivalTree(root->right);
}
复杂度:时间复杂度:O(logn),空间复杂度:O(n)。
博主题解链接:分都为空、其中一个为空、都不为空三种情况讨论,解决相同的树问题
题目描述:

题目示例和提示——


我们的思路是:可以分都为空、其中一个为空、都不为空三种情况讨论。


/**
* Definition for a binary tree node.
* struct TreeNode {
* int val;
* struct TreeNode *left;
* struct TreeNode *right;
* };
*/
bool isSameTree(struct TreeNode* p, struct TreeNode* q) {
//都为空
if(p == NULL && q == NULL)
{
return true;
}
//其中一个为空
if(p == NULL || q == NULL)
{
return false;
}
//都不为空
if(p->val != q->val)
{
return false;
}
return isSameTree(p->left,q->left) && isSameTree(p->right,q->right);
}
复杂度:时间复杂度:O(logn),空间复杂度:O(n)。
博主题解链接:利用相同的树用过的方法:分三种情况讨论,结合对称性解决问题
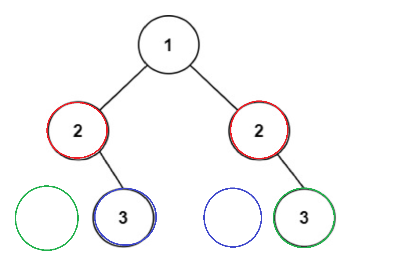
题目描述:


我们的思路是:利用相同的树用过的方法:分三种情况讨论,并且结合对称性。


示例1:

示例2:

我们要把这道题和前面的【相同的树】联系起来:
【相同的树】:

代码实现:


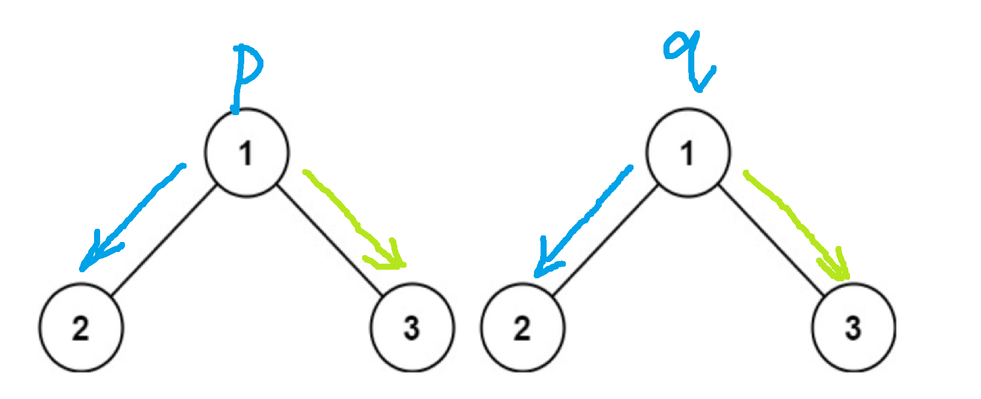
【相同的树】的代码我们可以拿过来改一改,直接就可以用:
我们调用相同的树的代码,我们需要稍微地改一下,原本我们比较的是p的左和q的左是否相同、p的右和q的右是否相同,在这里我们是比较是否是对称的二叉树,所以改成p的左(left)和q的右(right)比较是否相同、p的右和q的左比较是否相同,并且把最后的结果给返回——

代码实现完了,我们跟着流程再走一遍看一下——

/**
* Definition for a binary tree node.
* struct TreeNode {
* int val;
* struct TreeNode *left;
* struct TreeNode *right;
* };
*/
bool isSameTree(struct TreeNode* p,struct TreeNode* q)
{
if(p == NULL && q == NULL)
{
return true;
}
if(p == NULL || q == NULL)
{
return false;
}
if(p->val != q->val)
{
return false;
}
return isSameTree(p->left,q->right) && isSameTree(p->right,q->left);
}
bool isSymmetric(struct TreeNode* root)
{
return isSameTree(root->left,root->right);
}
复杂度:时间复杂度:O(logn),空间复杂度:O(n)。
博主题解链接:分三种情况讨论解决另一棵树的子树
题目描述:

题目示例和提示——


我们的思路是:分为空、其中一个为空、都不为空三种情况讨论。

/**
* Definition for a binary tree node.
* struct TreeNode {
* int val;
* struct TreeNode *left;
* struct TreeNode *right;
* };
*/
typedef struct TreeNode TreeNode;
bool isSameTree(TreeNode* p,TreeNode* q)
{
if(p == NULL && q == NULL)
{
return true;
}
if(p == NULL || q == NULL)
{
return false;
}
if(p->val != q->val)
{
return false;
}
return isSameTree(p->left,q->left) && isSameTree(p->right,q->right);
}
bool isSubtree(struct TreeNode* root, struct TreeNode* subRoot) {
if(root == NULL)
{
return false;
}
if(isSameTree(root,subRoot))
{
return true;
}
return isSubtree(root->left,subRoot) || isSubtree(root->right,subRoot);
}
复杂度:时间复杂度:O(logn),空间复杂度:O(n)。
往期回顾:
【LeetCode&数据结构】栈和队列的应用——设计循环队列问题详解
由于本专栏的篇数越来越多,为了避免文章链接挂太多影响观感,博主之后的每一篇力扣刷题详解都只会附上前一篇的链接,最后一次完整链接是在之后会发布的【栈的应用——有效的括号问题详解】和【单链表的应用——环形链表问题详解】的文章结尾,本意是为了方便大家找到相应的详细的题解,现在文章多了,铸币博主没办法一一罗列,而且还会有“凑字数”的嫌疑,力扣刷题专栏的链接每次都会放在文章开头的位置,大家可自行前往! 感谢大家的理解与支持!
【LeetCode&数据结构】栈的应用——有效的括号问题详解
【LeetCode&数据结构】单链表的应用——环形链表问题详解
结语:本篇文章到这里就结束了,本文讲述的四道代码题并不适合C语言初学者,需要有一定的C语言基础,要学完数据结构与算法的算法复杂度和二叉树的知识,才能写出复杂度较优的代码来。大家一定要自己动手敲一敲,不敲的话不仅容易忘记,也不方便将来复习。