周末又是看文献长见识的时间啦。最近在群里看到曾老板发的这篇文献引起了我的好奇。就在前几天还整理过肺部上皮的各种小亚群,这篇文章直接给了一个接近1000万细胞全肺图谱!!!文献于2025年11月13日发表在EBioMedicine杂志上,标题为《A unified single-cell atlas of human lung provides insights into pulmonary diseases》。
这里面除了分析方法值得细细考量之外,里面还坚定到了两个很像双细胞的亚群:一个表现为淋巴细胞标记物高表达的单核细胞亚群(命名为Lym-单核细胞),另一个则是富含T细胞标记物的B细胞亚群(命名为T样B细胞)。
由于缺乏高分辨率的肺部细胞参考图谱,空间组学数据的有效整合及共同致病机制的探索仍面临挑战(疑问:缺乏吗?)。
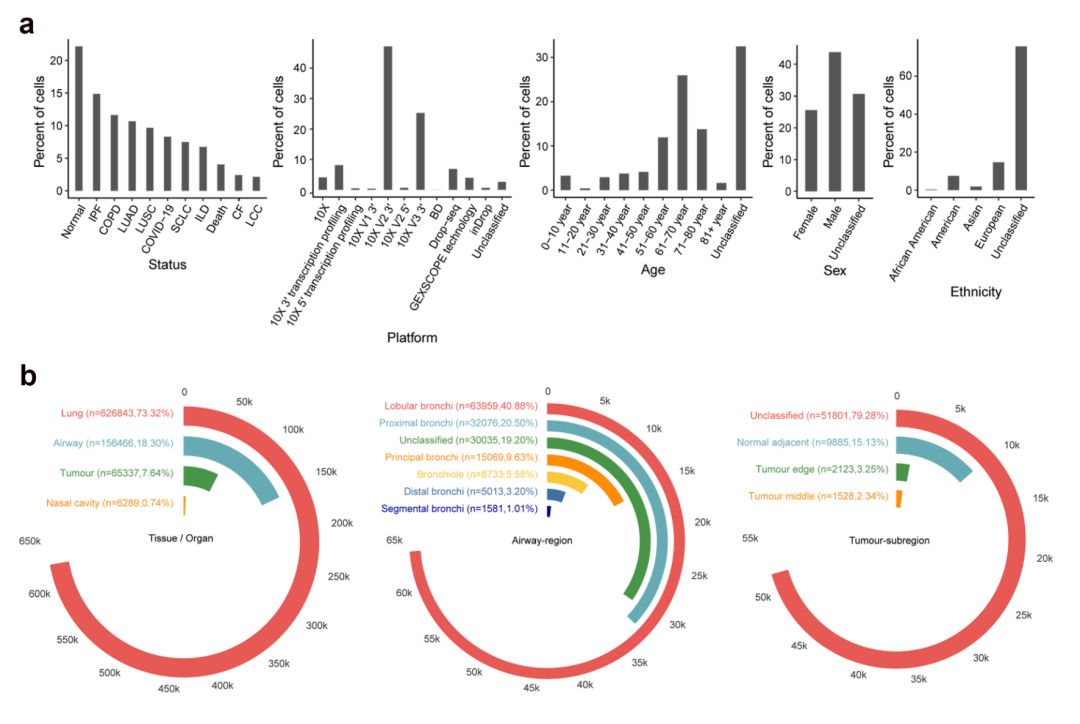
本文通过整合62个已公开数据集(涵盖1807名健康与疾病捐赠者的920万个细胞,涉及17种疾病状态),构建了目前最全面的人类肺部单细胞RNA测序图谱——uniLUNG。网址:
https://lung.unifiedcellatlas.org
核心图谱数据情况
为应对处理数百万细胞带来的计算挑战,作者首先构建了核心图谱,继而通过标签转换将其扩展为完整图谱。uniLUNG核心源自14个公共数据集,涵盖311名捐赠者的11种肺部状况,包括健康状态、囊性纤维化(CF)、慢性阻塞性肺疾病(COPD)、COVID-19、间质性肺疾病(ILD)、特发性肺纤维化(IPF)、大细胞癌(LCC)、肺腺癌(LUAD)、肺鳞状细胞癌(LUSC)和小细胞肺癌(SCLC)(补充表S1)。

uniLUNG核心数据集中细胞类型的层级分布情况:

所有数据集的统一预处理后,共获得了 854,935 个细胞用于构建 uniLUNG 核心数据集。为在保留生物学差异的同时有效消除批次效应,作者系统评估了18种数据整合策略,涵盖11种主流及最新的数据整合方法。基于评估结果,最终选择性能最优的 scANVI 方法构建 uniLUNG 核心数据集。
该核心数据集初步被划分为五大主要细胞类型及恶性细胞。通过迭代注释流程,最终在核心图谱中鉴定出60种 distinct 细胞类型(图1c、图2a)。


基于uniLUNG核心数据集,利用 CellTypist 通过标签转移将共识细胞注释扩展至其他数据集,最终构建了一个涵盖健康与17种疾病状态的人类肺部细胞综合转录组图谱(uniLUNG:https://lung.unifiedcellatlas.org)。该图谱整合了62个已公开单细胞数据集,包含来自1807名捐赠者的9,201,161个细胞,涵盖58种细胞类型,并附带生物学与人口统计学元数据(年龄、性别、种族、疾病状态及采样区域)。

借助uniLUNG资源,作者分析了涵盖18种肺部疾病的组织样本中的1,643,385个细胞,为肺部疾病单细胞研究提供了前所未有的资源平台。经过Harmony进行批次效应校正后,细胞被划分为五大主要类型(图3a和b)。应用 scCODA 评估细胞类型组成的差异(排除恶性细胞),该分析揭示了多个样本层中上皮细胞、淋巴系细胞和髓系细胞在疾病状态下的显著比例变化(图3c,补充图S8)。

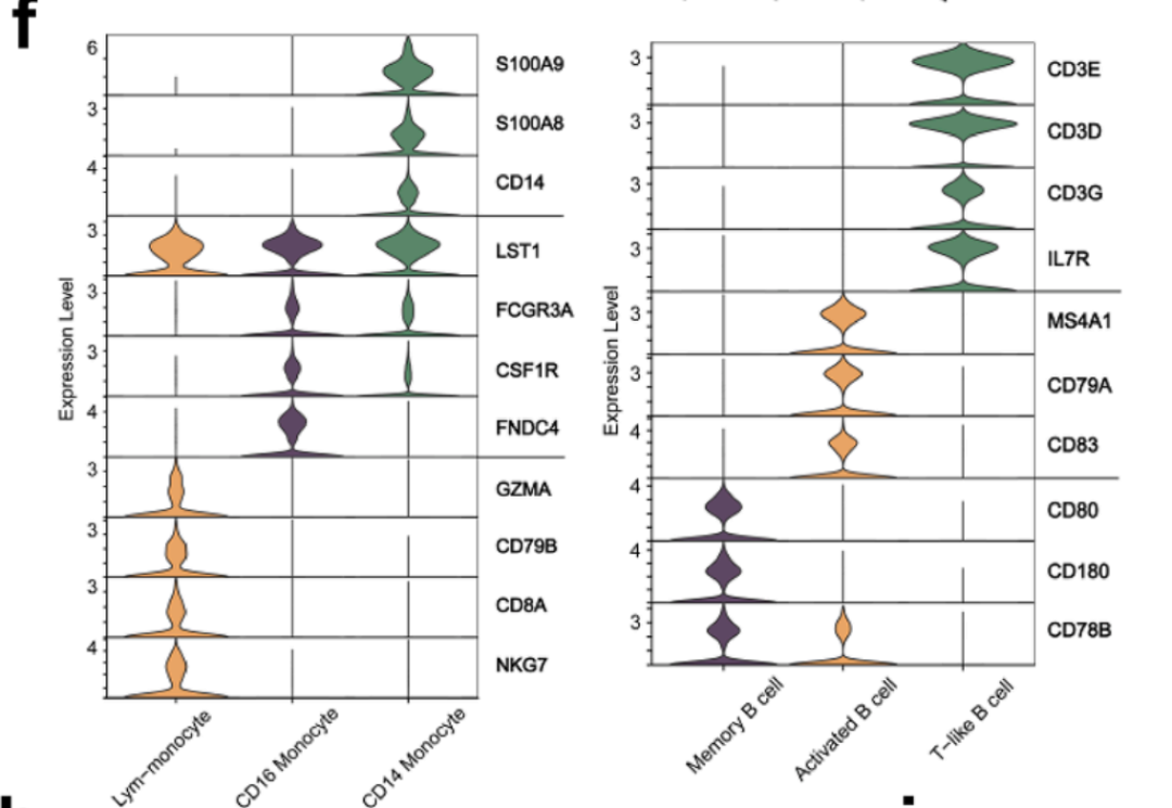
这里发现了两个独特亚群:
一个表现为淋巴细胞标记物高表达的单核细胞亚群(命名为Lym-单核细胞),另一个则是富含T细胞标记物的B细胞亚群(命名为T样B细胞)。这两个亚群在多种肺部疾病队列中均被稳定检测(图3e和f,作者排除了是双细胞的可能)。


关键标记基因的区分特征:
Lym-单核细胞与T样B细胞均上调淋巴细胞标记物(如TMSB4X、ZEB1、TRAF1、LIME1),同时T样B细胞特异性表达T细胞标记物(如RGS1、GZMA、TRBC1)并下调部分B细胞标记物(如CD83、HLA-DQB1)(图3j)。GO富集分析进一步证实,Lym-单核细胞主要富集于淋巴细胞及T细胞相关生物过程,而T样B细胞则与线粒体呼吸及能量代谢通路显著关联(图4a)。


这两群特有细胞的验证:
(f) Lym-单核细胞在HLCA单核细胞区域内的UMAP可视化映射; (g) T样B细胞在HLCA中的UMAP可视化分布,显示其定位与CD4 T细胞及CD8 T细胞区域重叠,并突出展示相邻的B细胞群体; (h) T样B细胞在泛癌B细胞图谱中的UMAP可视化映射,显示其与现有B细胞亚群邻近但保持独立; (i) T样B细胞在泛癌T细胞图谱中的UMAP可视化分布。无监督聚类显示T样B细胞主要形成独立群体,图中同时标注周边细胞类型。

后面还提到了一群过渡态细胞挺有意思的,大家可以去看看:
我们发现了一种过渡性恶性亚群——NSCLC样SCLC。该亚群在非小细胞肺癌向小细胞肺癌转化过程中起关键作用,并驱动肿瘤微环境重塑。(前面王凌华团队在肺癌里面也发现了一个过渡性的细胞亚群,后面比较看看。)
https://lung.unifiedcellatlas.org
10.5281/zenodo.17200374
10.5281/zenodo.17230639
https://github.com/wufanjie97/unilung
这篇文献还有很多值得细读的地方。
今天分享到这~
友情转发: