树是一种非线性的数据结构,它是由n(n>=0)个有限结点组成一个具有层次关系的集合。把它叫做树是因为它看起来像一棵倒挂的树,也就是说它是根朝上,而叶朝下的。它具有以下的特点:
(1)有一个特殊的结点,称为根结点,根结点没有前驱结点
(2)除根结点外,其余结点被分成M(M > 0)个互不相交的集合T1、T2、......、Tm,其中每一个集合Ti (1 <= i <= m) 又是一棵与树类似的子树。每棵子树的根结点有且只有一个前驱,可以有0个或多个后继
(3)树是递归定义的。


#注:树形结构中,子树之间不能有交集,否则就不是树形结构


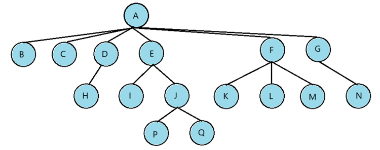
结点的度:一个结点含有子树的个数称为该结点的度; 如上图:A的度为6
树的度:一棵树中,所有结点度的最大值称为树的度; 如上图:树的度为6
叶子结点或终端结点:度为0的结点称为叶结点; 如上图:B、C、H、I...等节点为叶结点
双亲结点或父结点:若一个结点含有子结点,则这个结点称为其子结点的父结点; 如上图:A是B的父结点
孩子结点或子结点:一个结点含有的子树的根结点称为该结点的子结点; 如上图:B是A的孩子结点
根结点:一棵树中,没有双亲结点的结点;如上图:A
结点的层次:从根开始定义起,根为第1层,根的子结点为第2层,以此类推
树的高度或深度:树中结点的最大层次; 如上图:树的高度为4
以下概念只需了解,在看书时只要知道是什么意思即可:
非终端结点或分支结点:度不为0的结点; 如上图:D、E、F、G...等节点为分支结点
兄弟结点:具有相同父结点的结点互称为兄弟结点; 如上图:B、C是兄弟结点
堂兄弟结点:双亲在同一层的结点互为堂兄弟;如上图:H、I互为兄弟结点
结点的祖先:从根到该结点所经分支上的所有结点;如上图:A是所有结点的祖先
子孙:以某结点为根的子树中任一结点都称为该结点的子孙。如上图:所有结点都是A的子孙
森林:由m(m>=0)棵互不相交的树组成的集合称为森林
其实,树的表示方式和我们前面介绍到的链表很像:
对于链表来说:
(1)有一个专门的类,存放头结点,然后每保存一个节点next即可;
(2)只要拿到头结点,后续的节点就可以一 一拿到。
对于树来说:
(1)有一个专门的类,存放多个结点(接下来的不同的表示方式存不同的结点)
(2)只要拿到根结点,后续的的节点就可以一 一拿到。
树结构相对线性表就比较复杂了,要存储表示起来就比较麻烦了,实际中树有很多种表示方式,如:双亲表示法, 孩子表示法、孩子双亲表示法、孩子兄弟表示法等等。
//保存当前节点和他的父节点
class Node{
String val;
Node parent;
}双亲表示法我们一般不会使用。因为我们可以通过这种表示方法拿到根节点,但是无法知道其他的所有节点。也就是说只有在特定的场景下才会用这样的解决方案!!!
//保存当前结点和他的子结点
class Node{
String val;
List<Node> children;
}这是我们最常用到的表示方法,在拿到根节点之后我们也就可以逐步拿到所有有的子节点
//保存当前结点以及当前结点的孩子节点和双亲节点
class Node{
String val;
List<Node> children;
Node parent;
}这也是我们比较常用的表示方法之一
//保存当前结点以及当前结点的一个孩子节点和兄弟节点
class Node{
String val;
Node firstChidren;
List<Node> brotherNodes;
}最常见的树的应用就是我们计算机的文件系统管理(目录以及文件)

如上述的路径,这也就是树的一支:

若是将所有的目录和文件都放到一起,旧车为了一颗完整的树!!!
一棵二叉树是结点的一个有限集合,该集合:
(1)或者为空
(2)或者是由一个根节点加上两棵别称为左子树和右子树的二叉树组成。


从上图可以看出:
(1)二叉树不存在度大于2的结点
(2)二叉树的子树有左右之分,次序不能颠倒,因此二叉树是有序树
#注:对于任意的二叉树都是由以下几种情况复合而成的:

自然奇观:

一棵二叉树,如果每层的结点数都达到最大值,则这棵二叉树就是满二叉树。也就是说,如果一棵二叉树的层数为K,且结点总数是(2^k)-1,则它就是满二叉树。
完全二叉树是效率很高的数据结构,完全二叉树是由满二叉树而引出来的。对于深度为K的,有n 个结点的二叉树,当且仅当其每一个结点都与深度为K的满二叉树中编号从0至n-1的结点一 一对应时称之为完全二叉树。
#注:满二叉树是一种特殊的完全二叉树。

(1)若规定根结点的层数为1,则一棵非空二叉树的第i层上最多有2^(i-1) (i>0)个结点
(2)若规定只有根结点的二叉树的深度为1,则深度为K的二叉树的最大结点数是(2^k)-1 (k>=0)
(3)对任何一棵二叉树, 如果其叶结点个数为 n0, 度为2的非叶结点个数为 n2,则有n0=n2+1

(4)具有n个结点的完全二叉树的深度k为log(n+1)上取整
(5)对于具有n个结点的完全二叉树,如果按照从上至下从左至右的顺序对所有节点从0开始编号,则对于序号为i 的结点有:
若i>0,双亲序号:(i-1)/2;i=0,i为根结点编号,无双亲结点
若2i+1<n,左孩子序号:2i+1,否则无左孩子
若2i+2<n,右孩子序号:2i+2,否则无右孩子
#注:这可能是学校考试的重点,但不是面试重点!!!

答案讲解:

二叉树的存储结构分为:顺序存储和类似于链表的链式存储。
二叉树的链式存储是通过一个一个的节点引用起来的,常见的表示方式有二叉和三叉表示方式,具体如下:
// 孩子表示法
class Node {
int val; // 数据域
Node left; // 左孩子的引用,常常代表左孩子为根的整棵左子树
Node right; // 右孩子的引用,常常代表右孩子为根的整棵右子树
}
// 孩子双亲表示法
class Node {
int val; // 数据域
Node left; // 左孩子的引用,常常代表左孩子为根的整棵左子树
Node right; // 右孩子的引用,常常代表右孩子为根的整棵右子树
Node parent; // 当前节点的根节点
}由于内容较多,会分为多篇讲解,预知后续内容,请看后续博客!!!