
2025-10-27:K 条边路径的最大边权和。用go语言,给定一个有向无环图(节点编号为 0 到 n−1),图的边用一个二维数组 edges 表示,其中每个元素 edges[i] = [u_i, v_i, w_i] 表示从 u_i 指向 v_i 的一条边,权重为 w_i。还给出两个整数 k 和 t。
要求找出一条满足下列条件的路径:
在满足以上条件的所有路径中,选择边权和最大的那一条,并返回该最大和。如果不存在任何符合条件的路径,则返回 -1。
1 <= n <= 300。
0 <= edges.length <= 300。
edges[i] = [ui, vi, wi]。
0 <= ui, vi < n。
ui != vi。
1 <= wi <= 10。
0 <= k <= 300。
1 <= t <= 600。
输入图是 有向无环图(DAG)。
不存在重复的边。
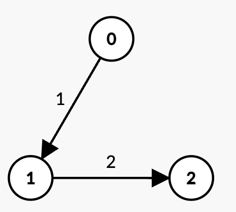
输入: n = 3, edges = [[0,1,1],[1,2,2]], k = 2, t = 4。
输出: 3。
解释:

唯一包含 k = 2 条边的路径是 0 -> 1 -> 2,其权重和为 1 + 2 = 3 < t。
因此,最大可能的边权和为 3。
题目来自力扣3544。
我们定义一个二维 DP 数组 f[i][x],其含义如下:
i:表示路径已经走过的边数。x:表示当前路径到达的节点编号。f[i][x]:这是一个 big.Int,它作为一个位掩码(Bit Mask)。这个整数中的每一个二进制位代表一个可能的路径权重和。如果某个权重和 s 是可达的,那么从节点 x 出发,经过恰好 i 条边能够达到这个权重和 s,则 f[i][x] 的第 s 位会被设置为 1。这种设计巧妙地利用了位图来压缩表示所有可能的路径和,避免了显式地存储每一个数值。
n 是否小于等于边数 k。如果是,直接返回 -1,因为无法形成 k 条边的路径。f,大小为 (k+1) * n,并初始化为 0。f[0][x],即所有经过 0 条边到达节点 x 的状态。我们将所有 f[0][x] 的第0位设置为 1。这表示从任何节点本身出发(不经过任何边),路径和是 0,这是一个合法的起点状态。i 从 0 到 k-1,对于每个状态 f[i][x],我们检查所有从节点 x 出发的边 (x, y, wt)。f[i][x] 中每一个已置位的权重和 s(即存在一条到 x 的 i 边路径,和为 s),我们可以通过加上当前边的权重 wt,得到一条到 y 的 i+1 边路径,其新权重和为 s + wt。f[i][x] 这个位掩码左移 wt 位,相当于将所有已存在的路径和都增加了 wt。然后,使用 按位或(OR) 操作将这个新的状态合并到 f[i+1][y] 中,表示这些新的路径和也是可达的。t,我们创建了一个掩码 mask = (1 << t) - 1。在左移后,通过按位与(AND) 操作与这个掩码进行运算。这样可以过滤掉所有大于等于 t 的路径和(因为它们会移位到第 t 位及更高位,而被掩码截断),只保留我们关心的部分。f[k][x],即所有恰好包含 k 条边且终点为任意节点 x 的路径状态。f[k][x] 中的每一个 big.Int。big.Int 的 BitLen() 方法,可以找到这个位掩码中最高位被置1的位置。这个位置减 1(因为位数从0开始计算)就代表了所有可达路径中的最大权重和。f[k][x] 都是 0(BitLen() 返回 0),说明没有符合条件的路径,返回 -1。0 到 k-1,共 k 次。E 次(E 为边的数量)。big.Int 的位运算(左移、按位与、按位或),这些操作的时间复杂度与 big.Int 的位数(大致与 t 成正比)有关。
因此,总的时间复杂度为 O(k * E * t)。考虑到题目中 n, k, E 的最大值均为 300,t 的最大值为 600,这个复杂度在可接受范围内。f。表的大小为 (k+1) * n,每个元素是一个 big.Int,其占用的空间与 t 成正比(因为需要表示 0 到 t-1 位)。因此,总的空间复杂度为 O(k * n * t)。这个方法的高明之处在于:
希望这个分步详解能帮助你透彻地理解这个算法的原理和实现。
.
package main
import (
"fmt"
"math/big"
)
func maxWeight(n int, edges [][]int, k int, t int)int {
if n <= k {
return-1
}
f := make([][]*big.Int, k+1)
for i := range f {
f[i] = make([]*big.Int, n)
for j := range f[i] {
f[i][j] = big.NewInt(0)
}
}
for i := range f[0] {
f[0][i] = big.NewInt(1)
}
p := new(big.Int)
mask := new(big.Int).Sub(p.Lsh(big.NewInt(1), uint(t)), big.NewInt(1))
for i, fi := range f[:k] {
for _, e := range edges {
x, y, wt := e[0], e[1], e[2]
if fi[x].Sign() != 0 {
shifted := p.And(p.Lsh(fi[x], uint(wt)), mask)
f[i+1][y].Or(f[i+1][y], shifted)
}
}
}
ans := 0
for _, bi := range f[k] {
ans = max(ans, bi.BitLen())
}
return ans - 1
}
func main() {
n := 3
edges := [][]int{{0, 1, 1}, {1, 2, 2}}
k := 2
t := 4
result := maxWeight(n, edges, k, t)
fmt.Println(result)
}

.
# -*-coding:utf-8-*-
def maxWeight(n, edges, k, t):
if n <= k:
return-1
# 初始化DP数组,f[i][j]表示经过i条边到达节点j的权重状态
f = [[0] * n for _ in range(k + 1)]
# 初始化:经过0条边到达任何节点的权重为1(二进制表示)
for i in range(n):
f[0][i] = 1
# 创建掩码用于限制位数
mask = (1 << t) - 1
# 动态规划
for i in range(k):
for edge in edges:
x, y, wt = edge
if f[i][x] != 0:
# 左移权重位并与掩码取AND,然后与目标状态取OR
shifted = (f[i][x] << wt) & mask
f[i + 1][y] |= shifted
# 寻找最大权重(最高位的位置)
ans = 0
for state in f[k]:
if state == 0:
continue
# 计算二进制位数并减1得到最大权重
bit_len = state.bit_length()
ans = max(ans, bit_len - 1)
return ans
def main():
n = 3
edges = [[0, 1, 1], [1, 2, 2]]
k = 2
t = 4
result = maxWeight(n, edges, k, t)
print(result)
if __name__ == "__main__":
main()
我们相信人工智能为普通人提供了一种“增强工具”,并致力于分享全方位的AI知识。在这里,您可以找到最新的AI科普文章、工具评测、提升效率的秘籍以及行业洞察。 欢迎关注“福大大架构师每日一题”,发消息可获得面试资料,让AI助力您的未来发展。