给你链表的头节点 head ,每 k 个节点一组进行翻转,请你返回修改后的链表。
k 是一个正整数,它的值小于或等于链表的长度。如果节点总数不是 k 的整数倍,那么请将最后剩余的节点保持原有顺序。
你不能只是单纯的改变节点内部的值,而是需要实际进行节点交换。
示例 1:

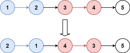
输入:head = [1,2,3,4,5], k = 2
输出:[2,1,4,3,5]示例 2:

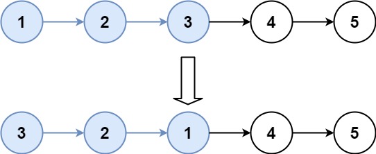
输入:head = [1,2,3,4,5], k = 3
输出:[3,2,1,4,5]ndummyHead 处理边界情况;使用 p0 指针记录每组前驱节点(核心:通过 p0 指针巧妙处理组间连接,确保反转后的链表正确衔接)p0.next.next = cur → 连接反转后的尾节点与下一组头节点p0.next = pre → 连接前驱节点与反转后的头节点p0 = next → 移动p0到下一组的前驱位置/**
* Definition for singly-linked list.
* public class ListNode {
* int val;
* ListNode next;
* ListNode() {}
* ListNode(int val) { this.val = val; }
* ListNode(int val, ListNode next) { this.val = val; this.next = next; }
* }
*/
class Solution {
public ListNode reverseKGroup(ListNode head, int k) {
// 先数一下这个链表的长度
int n = 0;
for (ListNode node = head; node != null; node = node.next) {
n++;
}
ListNode dummyHead = new ListNode(0);
dummyHead.next = head;
ListNode p0 = dummyHead;
ListNode cur = head;
ListNode pre = null;
while (n >= k) {
// 反转链表的操作
for (int i = 0; i < k; i++) {
ListNode tmp = cur.next;
cur.next = pre;
pre = cur;
cur = tmp;
}
// 每组之间的连接
ListNode next = p0.next;
p0.next.next = cur;
p0.next = pre;
p0 = next;
n -= k;
}
return dummyHead.next;
}
}