
2025-11-10:给边赋权值的方案数Ⅱ。用go语言,给一棵以节点 1 为根的无向树,共 n 个节点,边集由长度为 n−1 的数组 edges 给出(edges[i] = [ui, vi] 表示 ui 与 vi 之间有条边)。起初每条边的权重为 0,你可以把任意边的权重改为 1 或 2。
对于一次查询 queries[i] = [ui, vi],只看 ui 到 vi 这条唯一路径上的边(忽略树上其它边),统计把这些边的权重从 {1,2} 中选择,使得这条路径上所有边权重之和为奇数的不同赋值方案数。对每个查询都返回这样的方案数,结果对 1000000007 取模。
补充说明:若路径上有 m 条边,则答案为 2^{m-1}(对 1000000007 取模),因为每条边独立取 1 或 2,和的奇偶只取决于取 1 的边数,恰好有一半的赋值使和为奇数。
2 <= n <= 100000。
edges.length == n - 1。
edges[i] == [ui, vi]。
1 <= queries.length <= 100000。
queries[i] == [ui, vi]。
1 <= ui, vi <= n。
edges 表示一棵合法的树。

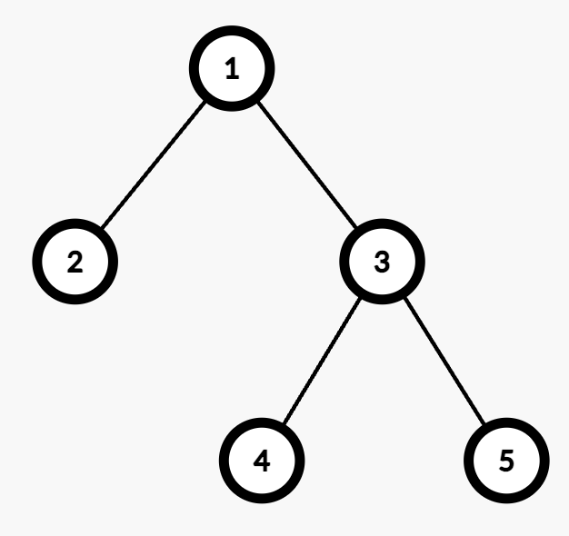
输入: edges = [[1,2],[1,3],[3,4],[3,5]], queries = [[1,4],[3,4],[2,5]]。
输出: [2,1,4]。
解释:
查询 [1,4]:路径为两条边(1 → 3 和 3 → 4),(1,2) 或 (2,1) 的组合会使代价为奇数,共 2 种。
查询 [3,4]:路径为一条边(3 → 4),仅权重为 1 时代价为奇数,共 1 种。
查询 [2,5]:路径为三条边(2 → 1 → 3 → 5),组合 (1,2,2)、(2,1,2)、(2,2,1)、(1,1,1) 均为奇数代价,共 4 种。
题目来自力扣3559。
代码首先预处理了一个数组 pow2,其中 pow2[i] 存储了 (2^i \mod 1,000,000,007) 的值。这是为了后续快速计算方案数,因为每个查询的答案可以表示为 (2^{m-1}),其中 (m) 是路径上的边数。
根据输入的边数组 edges,构建树的邻接表表示 g。每个节点都有一个列表存储其相邻节点,建立无向图结构以便后续遍历。
dep。pa,其中 pa[x][i] 存储节点 x 的第 (2^i) 级祖先节点。这为后续快速计算LCA(最近公共祖先)做准备。通过动态规划填充完整的倍增数组 pa:对于每个节点 x 和每个层级 i,pa[x][i+1] = pa[pa[x][i]][i]。这样可以在对数时间内查询任意节点的任意级祖先。
包含三个关键函数:
uptoDep(x, d): 将节点 x 提升到指定深度 d 的祖先节点。getLCA(x, y): 找到两个节点的最近公共祖先。首先将较深的节点提升到同一深度,然后同时向上跳跃直到找到LCA。getDis(x, y): 计算两节点间的距离(边数),公式为 dep[x] + dep[y] - 2*dep[lca]。对于每个查询 [ui, vi]:
m,答案即为 pow2[m-1]。这是因为在m条边中,需要选择奇数条边赋值为1,这样的选择方案数正好是 (2^{m-1})。这种基于LCA的解决方案能够高效处理大规模树上的路径查询问题。
.
package main
import (
"fmt"
"math/bits"
)
const mod = 1_000_000_007
var pow2 = [1e5]int{1}
func init() {
// 预处理 2 的幂
for i := 1; i < len(pow2); i++ {
pow2[i] = pow2[i-1] * 2 % mod
}
}
func assignEdgeWeights(edges [][]int, queries [][]int) []int {
n := len(edges) + 1
g := make([][]int, n)
for _, e := range edges {
x, y := e[0]-1, e[1]-1
g[x] = append(g[x], y)
g[y] = append(g[y], x)
}
const mx = 17
pa := make([][mx]int, n)
dep := make([]int, n)
var dfs func(int, int)
dfs = func(x, p int) {
pa[x][0] = p
for _, y := range g[x] {
if y != p {
dep[y] = dep[x] + 1
dfs(y, x)
}
}
}
dfs(0, -1)
for i := range mx - 1 {
for x := range pa {
if p := pa[x][i]; p != -1 {
pa[x][i+1] = pa[p][i]
} else {
pa[x][i+1] = -1
}
}
}
uptoDep := func(x, d int)int {
for k := uint(dep[x] - d); k > 0; k &= k - 1 {
x = pa[x][bits.TrailingZeros(k)]
}
return x
}
getLCA := func(x, y int)int {
if dep[x] > dep[y] {
x, y = y, x
}
y = uptoDep(y, dep[x])
if y == x {
return x
}
for i := mx - 1; i >= 0; i-- {
if pv, pw := pa[x][i], pa[y][i]; pv != pw {
x, y = pv, pw
}
}
return pa[x][0]
}
getDis := func(x, y int)int { return dep[x] + dep[y] - dep[getLCA(x, y)]*2 }
ans := make([]int, len(queries))
for i, q := range queries {
if q[0] != q[1] {
ans[i] = pow2[getDis(q[0]-1, q[1]-1)-1]
}
}
return ans
}
func main() {
edges := [][]int{{1, 2}, {1, 3}, {3, 4}, {3, 5}}
queries := [][]int{{1, 4}, {3, 4}, {2, 5}}
result := assignEdgeWeights(edges, queries)
fmt.Println(result)
}

.
# -*-coding:utf-8-*-
import sys
sys.setrecursionlimit(300000)
MOD = 1_000_000_007
class TreeLCA:
def __init__(self, n, edges):
self.n = n
self.g = [[] for _ in range(n)]
for x, y in edges:
self.g[x].append(y)
self.g[y].append(x)
# 预处理2的幂
self.pow2 = [1] * (n + 1)
for i in range(1, n + 1):
self.pow2[i] = self.pow2[i-1] * 2 % MOD
# LCA相关数组
self.mx = 17 # 2^17 > 1e5
self.pa = [[-1] * self.mx for _ in range(n)]
self.dep = [0] * n
# DFS预处理
self.dfs(0, -1)
# 倍增预处理
for i in range(self.mx - 1):
for x in range(n):
if self.pa[x][i] != -1:
self.pa[x][i+1] = self.pa[self.pa[x][i]][i]
else:
self.pa[x][i+1] = -1
def dfs(self, x, p):
self.pa[x][0] = p
for y in self.g[x]:
if y != p:
self.dep[y] = self.dep[x] + 1
self.dfs(y, x)
def upto_dep(self, x, d):
"""将节点x向上移动到深度d的位置"""
k = self.dep[x] - d
while k > 0:
i = k & -k
x = self.pa[x][i.bit_length() - 1]
k -= i
return x
def get_lca(self, x, y):
"""获取x和y的最近公共祖先"""
if self.dep[x] > self.dep[y]:
x, y = y, x
y = self.upto_dep(y, self.dep[x])
if y == x:
return x
for i in range(self.mx - 1, -1, -1):
if self.pa[x][i] != self.pa[y][i]:
x = self.pa[x][i]
y = self.pa[y][i]
return self.pa[x][0]
def get_dis(self, x, y):
"""获取x和y之间的距离"""
lca = self.get_lca(x, y)
return self.dep[x] + self.dep[y] - 2 * self.dep[lca]
def assign_edge_weights(edges, queries):
n = len(edges) + 1
# 将节点编号从1-based转换为0-based
converted_edges = [[x-1, y-1] for x, y in edges]
tree = TreeLCA(n, converted_edges)
ans = []
for q in queries:
u, v = q[0]-1, q[1]-1
if u == v:
ans.append(0)
else:
dis = tree.get_dis(u, v)
ans.append(tree.pow2[dis - 1])
return ans
def main():
edges = [[1, 2], [1, 3], [3, 4], [3, 5]]
queries = [[1, 4], [3, 4], [2, 5]]
result = assign_edge_weights(edges, queries)
print(result)
if __name__ == "__main__":
main()
#include <iostream>
#include <vector>
#include <array>
#include <algorithm>
using namespace std;
constint MOD = 1000000007;
constint MX = 17; // 最大二进制跳跃深度
constint NMAX = 100000; // 最大节点数(用于 pow2 预处理)
vector<int> pow2(NMAX, 1); // 存储 2^k % MOD
vector<vector<int>> g; // 邻接表
vector<array<int, MX>> pa; // 父节点表
vector<int> dep; // 节点深度
// 初始化 pow2 数组
void init_pow2() {
for (int i = 1; i < NMAX; i++) {
pow2[i] = (1LL * pow2[i - 1] * 2) % MOD;
}
}
// DFS 建立父节点表和深度
void dfs(int x, int p) {
pa[x][0] = p;
for (int y : g[x]) {
if (y != p) {
dep[y] = dep[x] + 1;
dfs(y, x);
}
}
}
// 跳到目标深度
int uptoDep(int x, int d) {
int k = dep[x] - d;
while (k > 0) {
int t = __builtin_ctz(k); // 求最低位 1 的位置(MinGW 支持)
x = pa[x][t];
k &= (k - 1);
}
return x;
}
// 求 LCA
int getLCA(int x, int y) {
if (dep[x] > dep[y]) swap(x, y);
y = uptoDep(y, dep[x]);
if (x == y) return x;
for (int i = MX - 1; i >= 0; i--) {
if (pa[x][i] != pa[y][i]) {
x = pa[x][i];
y = pa[y][i];
}
}
return pa[x][0];
}
// 求两点距离
int getDis(int x, int y) {
int lca = getLCA(x, y);
return dep[x] + dep[y] - dep[lca] * 2;
}
// 主计算函数
vector<int> assignEdgeWeights(const vector<pair<int,int>> &edges,
const vector<pair<int,int>> &queries) {
int n = edges.size() + 1;
g.assign(n, {});
pa.assign(n, {});
dep.assign(n, 0);
// 建树
for (auto &e : edges) {
int x = e.first - 1;
int y = e.second - 1;
g[x].push_back(y);
g[y].push_back(x);
}
// DFS 建立父节点表
dfs(0, -1);
// 预处理二进制跳跃表
for (int j = 1; j < MX; j++) {
for (int i = 0; i < n; i++) {
if (pa[i][j-1] != -1)
pa[i][j] = pa[pa[i][j-1]][j-1];
else
pa[i][j] = -1;
}
}
vector<int> ans(queries.size());
for (size_t i = 0; i < queries.size(); i++) {
int u = queries[i].first - 1;
int v = queries[i].second - 1;
if (u != v) {
ans[i] = pow2[getDis(u, v) - 1];
} else {
ans[i] = 0;
}
}
return ans;
}
int main() {
ios::sync_with_stdio(false);
cin.tie(nullptr);
init_pow2();
vector<pair<int,int>> edges = {{1,2},{1,3},{3,4},{3,5}};
vector<pair<int,int>> queries = {{1,4},{3,4},{2,5}};
vector<int> result = assignEdgeWeights(edges, queries);
for (int val : result) {
cout << val << " ";
}
cout << "\n";
return0;
}
我们相信人工智能为普通人提供了一种“增强工具”,并致力于分享全方位的AI知识。在这里,您可以找到最新的AI科普文章、工具评测、提升效率的秘籍以及行业洞察。 欢迎关注“福大大架构师每日一题”,发消息可获得面试资料,让AI助力您的未来发展。