大家好,我是 Ai 学习的老章
2025 年最后一天,腾讯开源了 HY-MT1.5 翻译大模型!
HY-MT1.5(Hunyuan Translation Model Version 1.5)是腾讯混元团队推出的专业翻译大模型,包含两个版本:
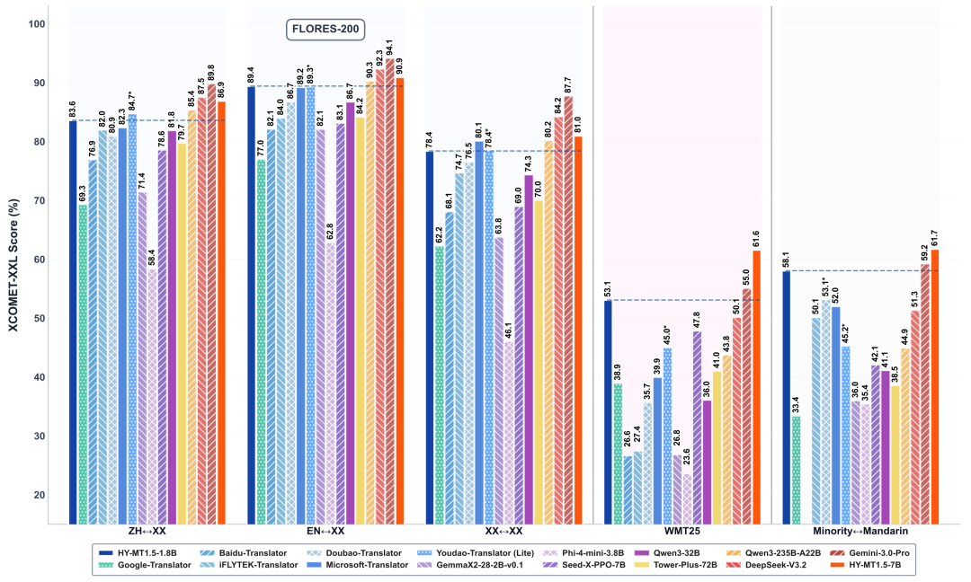
这两款模型主打一个 "又快又准":支持 33 种语言 的互译,还额外覆盖了 5 种民族语言和方言。最牛的是,1.8B 的小模型翻译质量居然能逼近 7B 大模型,"小钢炮"属性拉满。

1.8B 轻量模型的逆袭:
7B 完整模型的全面升级:

03f4843e17ba2986f33bcad490b656df.png
腾讯提供了多种量化版本,满足不同场景需求:
模型名称 | 描述 |
|---|---|
HY-MT1.5-1.8B | 混元 18 亿参数翻译模型 |
HY-MT1.5-1.8B-FP8 | 混元 18 亿参数翻译模型,fp8 量化 |
HY-MT1.5-1.8B-GPTQ-Int4 | 混元 18 亿参数翻译模型,int4 量化 |
HY-MT1.5-7B | 混元 70 亿参数翻译模型 |
HY-MT1.5-7B-FP8 | 混元 70 亿参数翻译模型,fp8 量化 |
HY-MT1.5-7B-GPTQ-Int4 | 混元 70 亿参数翻译模型,int4 量化 |

https://www.modelscope.cn/collections/Tencent-Hunyuan/HY-MT15
FP8 原版只有 2.05GB,GPTQ-Int4 只有 1.34GB

https://www.modelscope.cn/models/Tencent-Hunyuan/HY-MT1.5-1.8B-FP8/files
pip install transformers==4.56.0
from transformers import AutoModelForCausalLM, AutoTokenizer
import os
model_name_or_path = "tencent/HY-MT1.5-1.8B"
tokenizer = AutoTokenizer.from_pretrained(model_name_or_path)
model = AutoModelForCausalLM.from_pretrained(model_name_or_path, device_map="auto") # You may want to use bfloat16 and/or move to GPU here
messages = [
{"role": "user", "content": "Translate the following segment into Chinese, without additional explanation.\n\nIt’s on the house."},
]
tokenized_chat = tokenizer.apply_chat_template(
messages,
tokenize=True,
add_generation_prompt=False,
return_tensors="pt"
)
outputs = model.generate(tokenized_chat.to(model.device), max_new_tokens=2048)
output_text = tokenizer.decode(outputs[0])
HY-MT1.5 提供了多种专业翻译场景的 Prompt 模板:
1. 中外互译(ZH <=> XX):
将以下文本翻译为{target_language},注意只需要输出翻译后的结果,不要额外解释: {source_text}
2. 非中文互译(XX <=> XX):
Translate the following segment into {target_language}, without additional explanation. {source_text}
3. 术语干预(专业领域必备):
参考下面的翻译: {source_term} 翻译成 {target_term} 将以下文本翻译为{target_language},注意只需要输出翻译后的结果,不要额外解释: {source_text}
4. 上下文翻译(保持语境一致):
{context} 参考上面的信息,把下面的文本翻译成{target_language},注意不需要翻译上文,也不要额外解释: {source_text}
5. 格式化翻译(保留标签信息):
将以下<source></source>之间的文本翻译为中文,注意只需要输出翻译后的结果,不要额外解释,原文中的<sn></sn>标签表示标签内文本包含格式信息,需要在译文中相应的位置尽量保留该标签。输出格式为:<target>str</target> <source>{src_text_with_format}</source>
主流推理引擎都支持(TensorRT-LLM、SGLang),这里只介绍我喜欢的 vLLM
# 安装特定版本 transformers
pip install git+https://github.com/huggingface/transformers@4970b23cedaf745f963779b4eae68da281e8c6ca
# 启动服务
# export MODEL_PATH=tencent/Hunyuan-7B-MT
# export MODEL_PATH=/root/.cache/modelscope/hub/models/Tencent-Hunyuan/Hunyuan-7B-MT/
python3 -m vllm.entrypoints.openai.api_server \
--host 0.0.0.0 \
--port 8000 \
--trust-remote-code \
--model tencent/HY-MT1.5-1.8B \
--tensor-parallel-size 1 \
--dtype bfloat16 \
--served-model-name hunyuan \
2>&1 | tee log_server.txt
不想本地部署,只想体验的话,可以直接在这里试试
我测试了一下,直接放大招
1.5B 版本感觉去挑战这种难度非常吃力,翻译的很差

https://hunyuan.tencent.com/chat/HunyuanDefault?from=modelSquare&modelId=hunyuan-mt-1.8b
7B 也不咋地

这是我之前我写好但是没有发布的一篇文章中的翻译挑战题,感觉纯翻译大模型在这种难度的题目中,还是不如通用、推理大模型

它最大的价值:量化后的 1.8B 模型可以轻松部署在消费级显卡甚至边缘设备上,实时翻译场景完全 hold 住。就像官方宣传的:
HY-MT1.5-1.8B主要面向手机等消费级设备场景,经过量化,支持端侧直接部署和离线实时翻译,仅需1GB内存即可流畅运行,并且在参数量极小的前提下,效果超过了大部分商用翻译API。