
class Solution {
public boolean isSameTree(TreeNode p, TreeNode q) {
//1.判断结构是否一样
if(p!=null&&q==null || p==null&&q!=null){
return false;
}
//要么都为null 要么都不为null
if(p==null&&q==null){
return true;
}
//2.判断值是否一样
if(p.val!=q.val){
return false;
}
//值一样(左子树与左子树比较)
return isSameTree(p.left,q.left)&&isSameTree(p.right,q.right);
}
}class Solution {
public boolean isSubtree(TreeNode root, TreeNode subRoot) {
//当前子树是否和根结点一样
if(root==null){
return false;
}
if(isSameTree(root,subRoot)){
return true;
}
if(isSubtree(root.left,subRoot)){
return true;
}
if(isSubtree(root.right,subRoot)){
return true;
}
return false;
}
public boolean isSameTree(TreeNode p, TreeNode q) {
//1.判断结构是否一样
if(p!=null&&q==null || p==null&&q!=null){
return false;
}
//要么都为null 要么都不为null
if(p==null&&q==null){
return true;
}
//2.判断值是否一样
if(p.val!=q.val){
return false;
}
//值一样(左子树与左子树比较)
return isSameTree(p.left,q.left)&&isSameTree(p.right,q.right);
}
}
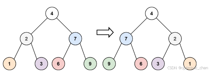
class Solution {
public TreeNode invertTree(TreeNode root) {
if(root==null){
return null;
}
TreeNode tmp=root.left;
root.left=root.right;
root.right=tmp;
invertTree(root.left);
invertTree(root.right);
return root;
}
}
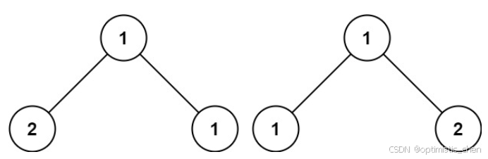
class Solution {
public boolean isSymmetric(TreeNode root) {
if(root==null){
return true;
}
return isSymmetricChild(root.left,root.right);
}
public boolean isSymmetricChild(TreeNode leftTree,TreeNode rightTree){
//左树不为空并且右树为空 或者 左树为空右树不为空
if(leftTree!=null&&rightTree==null||leftTree==null&&rightTree!=null){
return false;
}
//左树为空并且右树为空
if(leftTree==null&&rightTree==null){
return true;
}
//左树的值不等于右树的值
if(leftTree.val!=rightTree.val){
return false;
}
//返回左树的左结点 右树的右结点 并且 左树的右结点 右树的左结点
return isSymmetricChild(leftTree.left,rightTree.right)&&isSymmetricChild(leftTree.right,rightTree.left);
}
}class Solution {
public boolean isBalanced(TreeNode root) {
//如果一棵树是平衡二叉树 那么他的每颗子树都是平衡二叉树(左右子树高度差<=1)
if(root==null) return true;
return getHright(root)>=0;
}
public int getHright(TreeNode root){
if(root==null){
return 0;
}
int leftHeight=getHright(root.left);
if(leftHeight<0){
return -1;
}
int rightHeight=getHright(root.right);
//绝对值
if(rightHeight>=0&&Math.abs(leftHeight-rightHeight)<=1){
return Math.max(leftHeight,rightHeight)+1;
}else{
return -1;
}
}
}