首页
学习
活动
专区
圈层
工具
发布
社区首页 >专栏 >广义流体动力学:一种视角 Generalized Hydrodynamics: A Perspective

广义流体动力学:一种视角 Generalized Hydrodynamics: A Perspective

作者头像
CreateAMind
发布2026-03-11 18:29:24
发布2026-03-11 18:29:24
290
举报
文章被收录于专栏:CreateAMindCreateAMind

Generalized Hydrodynamics: A Perspective

广义流体动力学:一种视角

https://journals.aps.org/prx/pdf/10.1103/PhysRevX.15.010501

传统流体力学描述具有少量长寿命激发的系统。然而在一维中,许多实验相关的系统即使在高温下也具有大量长寿命激发和守恒量,因为它们接近可积极限。此类模型无法用传统流体力学处理。广义流体力学(GHD)框架近期被发展出来,用于处理一维模型的动力学:它结合了可积性、流体力学和动理学理论的思想,以形成一个输运的定量理论。GHD已成功解决关于一维输运的若干长期悬而未决的问题;它也被用于研究超越守恒量输运的动力学问题以及非可积系统。在本文中,我们介绍GHD的主要思想和预测,综述该框架的一些最新理论扩展和实验检验,并讨论GHD视角可能阐明的输运领域中的一些开放问题。

I. 引言

流体动力学是现代多体物理的支柱之一[1–12]。其核心在于:流体动力学是一种有效场论描述,用于刻画强相互作用系统中广延守恒量或其他慢变量的输运行为。流体动力学建立在如下假设之上:除对称性所要求的慢自由度外,其余所有自由度均会迅速发生局域弛豫。该假设意味着:任一守恒量的流(事实上,任何局域可观测量)均可通过守恒密度(如能量密度、粒子数密度等)的梯度展开予以表达。由此可知,系统整体动力学可由一组关于守恒密度的偏微分方程(通常自由度数量显著减少)所构成的闭合、演生体系良好刻画。流体动力学广泛适用于各类情境——从经典流体力学,到超冷量子气体[13,14]、夸克-胶子等离子体[15]、黑洞物理[16],乃至石墨烯与PdCoO₂等强相互作用、长平均自由程的纯净固态体系中的电子流体[17–20]。低维系统中的流体动力学尤为丰富,展现出诸如长时拖尾[21–25]与超扩散[26–29]等输运反常现象。

当慢自由度数量过多时,传统流体动力学便不再适用。此类情形出现在一维可积系统中[30–34],但亦具更普遍性:例如,低温费米液体中会出现演生对称性[35];多体局域化与预热化背景下同样存在类似现象[36]。本文聚焦于可积系统,因其仍是目前理解最为透彻的情形。尽管可积性看似高度微调,但诸多量子多体物理的范式模型——如Hubbard模型、Heisenberg模型及Lieb-Liniger模型——均具有可积性。历史上,可积性主要被用于通过精确计算揭示低温现象(如分数化、近藤效应等),而这些现象亦存在于一般非可积系统之中[30,31,37–39]。自冷原子实验兴起以来[40],人们逐渐认识到可积性会引发引人注目的动力学效应[41,42]。然而令人遗憾的是,传统精确解方法在处理远离平衡的动力学问题、乃至计算线性响应电导率方面,作用却十分有限。计算动力学量需获知物理可观测量在任意本征态间的矩阵元,并对系统全部本征态求和——在本文综述的近期进展出现之前,这两项任务均被认为难以实现。

2016年,两个研究组独立提出了如今被称为广义流体动力学(Generalized Hydrodynamics, GHD)的理论框架[43,44]。GHD将流体动力学的一般原理推广至可积情形——此处存在大量守恒量(即守恒量数目随系统自由度数目线性增长)。其主要技术突破[43,44]在于找到了一种基底,使得由大量守恒量所导出的流体动力学本构方程不仅在数学上仍可处理,且具直观物理图像:GHD方程本质上是针对可积系统中稳定准粒子激发的无碰撞Boltzmann方程。GHD的发现是量子可积系统非平衡物理长期研究[33]的集大成之作,后续亦被发现与色散流体动力学中的孤子气体理论[45]及统计力学中硬棒系统的流体动力学[25](二者均更早提出)存在深刻联系。

自此,GHD已被确认为描述大量多体可积系统(涵盖经典至量子[43,44,46]、粒子[47,48]、孤子[49,50]、自旋[51]及场论[43])演生大尺度动力学的普适框架[34]。GHD推动了对远离平衡输运构型的定量理解,揭示了纠缠动力学[52–54]与关联传播[55,56]的机制,为Drude权重[57–62]及扩散常数[63–68]等线性响应量提供了解析表达式;更在强相互作用自旋链中发现了新型反常输运区域[66,69–81],并为研究近可积系统提供了理论起点。相应地,这些理论进展激发了新的实验探索[82–91],而GHD对实验系统中观测到的动力学行为亦给出了高精度的定量预言。

本综述性观点文章旨在总结并梳理过去六年间基于GHD对可积系统动力学的快速进展。我们的目标并非提供GHD的详尽技术阐述;相反,我们力求给出GHD的宏观图景,并着重探讨GHD如何关联于各类物理背景下非平衡动力学领域的开放性问题。欲了解细节,读者可参阅近期关于GHD的教学性引论文献[34,89,92,93]——特别是,关于GHD的扩散修正,见文献[94];关于GHD框架内可积性破缺微扰的引论,见文献[95];综述性文章[96]则对一维系统输运的数值与精确结果进行了广泛讨论。

本文后续结构如下:第II节自洽地概述GHD框架的基本内容;第III节回顾用于研究近可积系统中输运与非平衡动力学的若干实验技术;第IV节讨论该领域的近期进展及部分开放问题。

II. 广义流体动力学:一般框架

A. 背景

对可积动力学兴趣的复兴,很大程度上源于2006年一项关于受限于一维谐振阱中的冷原子气体远离平衡动力学的实验[40]。该气体通过激光脉冲被驱离平衡态,使其一半向左飞行,另一半向右飞行。在攀越束缚势阱后,气体的两半部分返回并反复碰撞,如同牛顿摇篮玩具,且具有强(且可调)的接触相互作用。引人注目的是,这些碰撞并未使气体的动量分布弛豫至平衡态麦克斯韦-玻尔兹曼分布,这与统计力学的朴素预期相悖。相反,动量分布趋近于一个清晰的非高斯稳态。一个自然的调和方式是,实验系统近似由可积的Lieb-Liniger模型描述[97,98]。作者们问道:这种“量子牛顿摇篮”效应是否仅仅是可积性的一个简单结果?尽管这一想法颇具启发性,但它引发了诸多疑问,例如为何可积性会守恒单个粒子的动量,以及为何它能在存在势阱的情况下依然存续。

然而,尽管量子淬火中的新进展在技术上令人印象深刻,却未能帮助解决最初的“量子牛顿摇篮”问题。在这样的实验中,系统不仅远离平衡,而且通常是不均匀的。人们同时失去了时间和空间上的定态性。用Bethe假设态重建非均匀势场下的基态在数值上可行但极其昂贵,而热态则更难获得;通常情况下,用于重叠计算的特殊Bethe假设公式似乎并不存在(尽管已有某些特例被解决;参见文献[105–110]及其中引用文献,以获取关于GHD背景下形状因子的最新综述)。用Bethe假设态重建含外部非均匀势的演化哈密顿量同样极为困难。已知的量子可积性的传统技术似乎无力描述,更不用说解释近可积系统中原子云的远离平衡动力学。

B. 欧拉尺度广义流体动力学

平滑变化的空间和时间依赖势也可以纳入广义流体动力学(GHD)框架[119,120],类似于外部力和场可以在常规欧拉流体动力学方程中纳入。例如,类似于电子输运的半经典理论[121],外部力加速每个准粒子,使其速度随时间演变,以考虑相互作用[119,120,122,123];相关分析也可以应用于局部杂质的散射[124,125]。我们的逻辑到目前为止遵循与任何其他欧拉方程相同的流体动力学原理,但导致一些独特的结果。在许多情况下——例如黎曼问题或仅从平滑非均匀初始条件的动力学——典型的双曲方程发展冲击[126,127],但广义流体动力学不[43,444,128,129]。这些效应的出现是因为广义流体动力学具有线性简并性[130-135]。在物理上,这意味着流体动力学模式不是“自相互作用”的。除了流体动力学模式的连续体的存在外,缺乏自相互作用是广义流体动力学许多特殊特征的基础。

一旦我们有了广义流体动力学方程(3),一个重要的问题是如何求解它。除了数值算法[120,128,136] 和开源软件[137,138](以及一些解析解[61]),重要的是要意识到广义流体动力学方程具有积分结构,允许求解积分方程[133,135];这在非线性流体动力学方程的背景下是不寻常的,并与霍普方法[139] 平行。

C. 扩散修正

如上所述,在流体力学中,通过投影到慢变量上寻找长波长扩展。自然地,超出欧拉尺度,不能简单地假设流体单元由(广义)吉布斯集合描述:必须考虑电流波动导致的电流波动的部分松弛,导致(G)GE,这在欧拉尺度广义流体动力学中被遗漏。对欧拉尺度广义流体动力学的主要修正是扩散修正。

将这种扩散图景与非可积模型中的扩散物理进行对比是有用的。广义流体动力学中扩散与欧拉尺度流体动力学中扩散的最明显区别是,广义流体动力学中扩散作为欧拉尺度流体动力学的子领先修正出现,而在非可积系统中扩散是主要效应,因为电流没有与任何守恒定电荷密度相关联结。此外,两种情况下扩散的物理起源不同:广义流体动力学中的扩散仅由于它们投影到“双线性电荷”——代表非可积系统中密度波动的协方差——而扩散是由于电流的“快速”松弛。这种区别的后果是,广义流体动力学中波动的噪声项与扩散距离尺度强相关,而非可积模型中预期仅在微观尺度上相关。波动广义流体动力学中噪声的噪声实现来自标记准粒子通过其他准粒子的列车,而这种实现——这种实现——在扩散尺度上传播变化很小。

最后,即使对于表现出弹道输运的非可积系统(例如,混沌加利略流体),“扩散尺度”修正的性质与我们这里描述的不同。最显著的区别是,在混沌系统中弹道前沿的展宽化根本不是渐近扩散的:相反,它是超扩散的,例如,声前沿具有动态指数

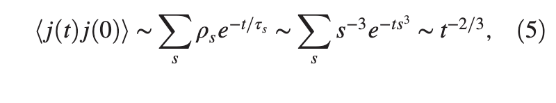
和 Kardar–Parisi–Zhang (KPZ) 普适类中的缩放函数[27]。这一结果可以从非线性波动流体动力学[27,28] 和 Kubo 公式[68] 的直接分析中理解。KPZ 非线性基本上由于欧拉尺度模式的自相互作用而产生,因此在可积系统中不存在。

除了这些扩散修正外,还探索了更高阶梯度修正[140,143],以及量子修正[143,144],我们在此不再讨论。

D. 反常输运

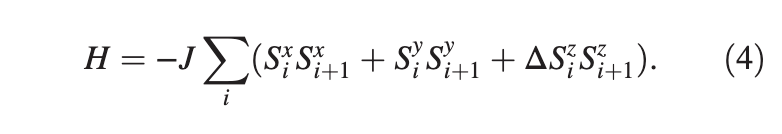
截至目前所讨论的图像,至少对可积系统而言,是简洁而普适的:在GHD框架下,守恒荷由弹道传播的准粒子输运,而每个准粒子的轨迹因其与其他准粒子的弹性碰撞而呈扩散性展宽。然而,引人注目的是,可积系统自身的动力学也可能呈现反常性:当存在额外对称性时,可积系统中的荷输运可能表现为扩散性或超扩散性,而非弹道输运。这一令人惊讶的现象甚至出现在研究最为深入的可积系统——XXZ自旋链中:

回顾一下,即使在自旋翻转下,能量和其他电荷的传输对于所有 Δ 都是弹道的。实际上,即使自旋传输在初始状态明确破坏自旋翻转对称性时也是弹道的。因此,缺乏弹道自旋传输,特别是超扩散的出现,是可积系统中可积性和对称性之间相互作用的结果[57],如下所述。

  1. 易轴 XXZ 模型

我们首先分析方程 (4) 的易轴区域,这在更简单的背景下展示了各向同性点的许多特征。为了在这个区域构建准粒子,首先从铁磁真空态开始并翻转自旋 [151]。由于对称性,真空是双重简并的。从真空开始,在大-Δ极限下,通过翻转连续的自旋块来创建激发。这些准粒子被称为 s 弦。因为 Z_tot 是守恒的,s 弦既不能增长也不能收缩;由于能量守恒,它们不能断裂。然而,s 弦可以集体移动,其特征速度为

,s 弦在质量上是相同的,但一般来说,它们是扰动地着装的。模型的可积性保证了即使在有限密度下,s 弦仍然保持稳定。

为了理解该模型中输运的特殊特征,让我们选择全↓真空并构建两个准粒子,一个 s = 1 弦(即一个磁子)和一个 s ≫ 1 弦(即一个大的↑自旋域)。为了给出具体例子,真空上方的 3 弦由形式为 ...↓↑↑↑↓... 的配置构建。我们现在考虑这些准粒子如何相互散射。磁子作为少数↑自旋在域(即 s 弦)中弹道式移动,而域基本上被冻结。当磁子到达域的边缘时,它翻转其极性并以少数↓自旋的形式穿过域。在这个过程中,为了保持自旋守恒,当这种情况发生时,两个↑自旋被沉积在界面上。当磁子离开域时,该过程反向重复。因此,当磁子穿过域时,(i) 磁子暂时退磁,(ii) 域移动两个位置。

我们现在将这些观察结果外推到平衡态,在这种状态下,磁子和域都以高密度存在。由于(在平衡态中)磁子通过的↑自旋域和↓自旋域数量相同,因此它平均不携带自旋。此外,许多磁子通过域时会产生随机位移,并导致其随时间扩散。当然,在有限的Δ下,磁子和域之间没有明显的区别:相反,在给定的时间尺度t上,

的s弦是扩散的并且极化,而较小的弦是弹道式的并且去极化。在t → ∞的极限下,自旋传输完全由s → ∞的弦来完成,该弦具有零速度并且是严格扩散的。在Δ > 1的区域,这种巨大准粒子的扩散常数由其与磁子的碰撞来设定,因此在t → ∞时仍然是有限的。这种扩散常数可以通过[65,66,152]中的想法定量计算:它仅仅是由于与其他准粒子的碰撞而在(零速度)轨迹中的巨大准粒子的扩散。(注意,在GHD中进行这种计算时,必须在用小场h弱破

对称性的状态下计算扩散常数,并在计算结束时取h → 0的极限。)这种关于弹道准粒子导致扩散传输的图景在GHD出现之前就已经被很好地理解了[153-155]。

缺乏弹道传输可以直接与哈密顿量和初始状态的

对称性联系起来。在准粒子图中,这种对称性导致轻准粒子完全去极化。在这个图中,区域内大小为ℓ的全局

翻转仅对应于向状态中添加一个ℓ弦;这不会改变其他准粒子的状态,因此在全局

对称性下,任何有限s的准粒子都是中性的。

  1. 海森堡模型

III. 实验工具箱 本节将回顾一些已被用于研究近可积系统中输运与非平衡动力学的实验技术,重点聚焦于新型可观测量。过去十年间,可测量物理量的范围极大拓展;这些新近可及的可观测量使我们得以对GHD等理论进行严格检验,并激发了新的理论问题(我们将在第IV节中再次讨论这些问题)。首先,我们简要概述当代实验中如何实现近可积系统并将其驱动至非平衡态(关于此主题的其他近期综述,参见文献[165,166])。

A. 实现方式

  1. 超冷原子 近年来,关于可积动力学的诸多进展均源于冷原子实验。通过两类方法,可将冷原子气体囚禁于准一维构型中:其一,沿两个空间方向施加深光学晶格势(形成相互解耦的管状系综);其二,使用原子芯片直接囚禁单个气体。相关细节参见文献[167–172]。这些一维气体可用Lieb–Liniger模型[98,173]描述,该模型假设原子间仅存在严格的接触相互作用;对超冷原子而言,这是极佳的近似——典型粒子间距(> 100 nm)远大于范德瓦尔斯相互作用力程(≤ 1 nm)。两种实现方案互为补充:原子芯片可囚禁单个一维系统,并借助关联函数[174]、全分布函数[175]及物质波干涉[176,177](参见第III.E节)深入研究其全部细节;而光学晶格通常能实现更紧束缚与更强相互作用[178–180](例如通过Feshbach共振或碰撞诱导共振[181–183]),但受限于系综平均效应。

除连续Lieb–Liniger模型外,超冷原子系统还可实现可积晶格模型,如Hubbard模型与Heisenberg模型。其关键改进在于:在已囚禁原子的管方向上,额外叠加第三个(较弱的)光学晶格势。在此适当参数区,沿管方向的运动可用Fermi–Hubbard模型或Bose–Hubbard模型描述,具体取决于基元粒子的统计性质。Fermi–Hubbard模型本身是可积的[184,185],并展现出反常流体动力学行为[78,186]。Bose–Hubbard模型虽不可积,但在半填充与强相互作用条件下,电荷涨落受能量抑制,模型退化为可积的Heisenberg模型。所得Heisenberg模型中自旋–自旋相互作用的对称性,取决于原子微观的、内态依赖的散射性质:一般而言近似各向同性;但通过将系统调至内态依赖的Feshbach共振附近,可实现各向异性可调的各向异性Heisenberg模型[83]。

最后,近期GHD理论取得诸多进展的可积sine–Gordon场论[62,187,188],可通过耦合的准凝聚体对并在物质波干涉仪中探测实现实验实现[174,189–191](亦参见第III.E节)。另有理论方案提议在隧穿耦合的Bose–Hubbard链中实现该模型[192],从而借助量子气体显微镜测量拓扑荷的全计数统计[193]。

  1. 固态磁体 与超冷原子实验的进展并行,大量研究致力于探索固态中准一维磁体内的自旋与热输运。特别是,对材料 CaCu₂O₃ 和 SrCuO₂ 的热输运实验观测到了显著贡献,被归因于长寿命的磁振子(magnons)[194]。这些材料中的自旋动力学被认为由一维反铁磁 Heisenberg 模型主导。近期,在一维 Heisenberg 磁体 KCuF₃ 中发现了一个尤为突出的可积动力学表现:中子散射实验明确显示,当温度超过 100 K 时,自旋输运呈现超扩散行为[85]。

另一类互补的固态平台利用哈密顿量工程方法,在氟磷灰石(fluorapatite)材料的核自旋体系中实现可控自旋链[195]。在氟磷灰石中,既可实现各向同性 Heisenberg 自旋链,也可实现各向异性情形;GHD 的一项关键预言——即易轴型 XXZ 自旋链中能量输运为弹道型、而自旋输运为扩散型——近期已在该实验系统中得到验证[196]。

  1. 量子比特器件 近年来,中等规模量子计算机已成为量子模拟的有力工具。这类系统的优势在于可探测大量传统手段难以企及的可观测量。与前述系统不同,此类器件实现的是基于量子门的离散时间演化。为近似连续哈密顿量演化,需对哈密顿量进行 Trotter 分解。一般而言,Trotter 误差会破坏可积性;然而令人惊奇的是,XXZ 自旋链存在一族保持严格可积性的离散时间形变[197]。对这些离散时间可积系统的量子模拟,已成为理解其动力学行为的广泛应用方法[198,199]。

B. 传输

最近,类似的方法被用于实验测量一维玻色气体[203]的Drude权重。虽然通常以时间平均电流自相关函数的形式给出,但Drude权重可以从在双分初始态的流体动力学演化后在大时间发生的平稳电流中提取[57]。因此,通过用化学势不平衡初始化气体,然后在自由演化期间测量电流,获得了与GHD预测一致的Drude权重[59],如参考文献[203]中所述。

B. 传输

C. 密度动力学与全计数统计

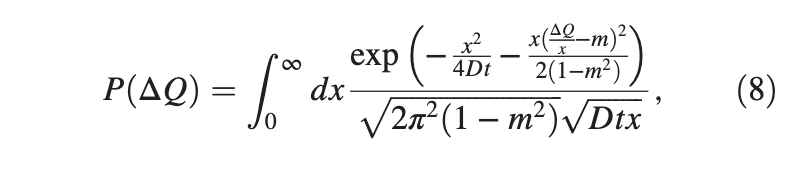
GHD 不仅限于近平衡输运,还可对非平衡初态下密度的粗粒化动力学做出定量预言。具备原位成像能力的冷原子实验可十分自然地探测量子气体的此类动力学行为。该技术已被用于在原子芯片装置上对 GHD 进行首次直接实验检验[82]:研究了单个弱相互作用准凝聚体在经历一维势场淬火后,其密度演化的动力学过程。其中一种淬火方案是:将处于热平衡的原子初始囚禁于双势阱中,随后使其在一维空间中自由膨胀(见图2)。实验所观测到的原子密度后续演化与 GHD 的预言高度吻合,而基于局域热平衡假设的传统流体动力学则完全失效[128,204]。

在另一组测量中,实验设置类似于“量子牛顿摇篮”:将双势阱淬火至谐振势。GHD 预言再次准确捕捉到了观测到的主要特征;然而,在更长的演化时间下,实际动力学的弛豫速度比 GHD 预言更快。(我们将在第 IV.B 节中重新讨论这一偏差,彼时将探讨可积性破缺问题。)

采用原位成像的连续体系实验通常测量粗粒化密度,从而提取期望值的动力学行为(这正是流体动力学的标准应用场景)。然而,利用量子气体显微镜的光学晶格实验[193,205](以及超导量子比特实验)可对系统中所有原子进行同步快照。这些快照的统计信息不仅包含期望值,还编码了任意高阶的涨落信息。对这类涨落的研究,即所谓“全计数统计”(full-counting statistics),是当前理论探索的活跃方向,我们将在第 IV.C 节中进一步展开。早期即已认识到,原子芯片实验亦可通过干涉测量手段探测量子涨落统计;但此类设置中所测量涨落的物理量是超流相位,而非密度(见第 III.E 节)。

在超导量子比特系统(某种程度上也包括量子气体显微镜)中,还可进一步研究更复杂守恒量(如能量)期望值的演化[206,207]。实现方式是:分别测量构成能量算符的各 Pauli 串,并将其期望值组合起来。而测量这些高阶守恒量的涨落则更具挑战性,目前尚未实现。

D. 快度的直接测量

GHD 的核心本质上是关于完整的准粒子分布如何演化的理论。GHD 实验可检验性的一项重大进展,是文献[208]提出的改进型飞行时间(time-of-flight)测量方案,该方案在较弱假设下即可直接提取快度(rapidity)分布[见图3(a)]。

在此技术基础上,近期已实现对局域快度分布的探测[214]:其方法是在膨胀前,通过移除云团中除某一空间“切片”外的所有原子,从而仅保留该局部区域进行后续飞行时间测量。

借助快度的直接测量,人们对 GHD 开展了更严格的检验:文献[87]中,一组强相互作用的一维气体经历了(准)谐振纵向势的剧烈淬火,导致气体被压缩并激发呼吸模振荡,其行为与零熵 GHD 高度吻合[见图3(c)]。通过同时测量动量与速度分布,研究者得以追踪系统动能与相互作用能的演化:在硬核极限下,原子间重叠可忽略,相互作用能趋于零;然而,在压缩最甚的状态下,气体偏离硬核极限,表现为动能出现显著下降——这一现象再次与 GHD 预言相符。

原则上,结合内态分辨成像与能带映射(band-mapping)技术,快度测量方法可推广至晶格模型(如 Hubbard 模型),其中真空对应无粒子的空态。在此类系统中,通常只需关闭特定方向上的囚禁势,即可实现一维膨胀。从概念上讲,该方法亦可应用于 XXZ 自旋链等自旋系统——例如,通过在系统周围设置一大片自旋极化原子作为“缓冲区”;但在实际操作中仍面临诸多挑战,例如为获得清晰的飞行时间图像需设置不切实际的巨大缓冲区,目前该方案尚未在实验中实现。

IV. 近期进展与开放问题

前述章节介绍了广义流体动力学(GHD)的理论框架及其已被用于探索该框架的实验工具箱。如前所述,GHD 仅基于对系统准粒子谱的了解,即可对任意可积系统中守恒密度的大尺度动力学做出定量精确的预言。然而,GHD 的成功依赖于若干非平凡假设。除基本限定于一维可积系统外,GHD 还建立在系统局域弛豫至(广义)局域平衡态这一核心假设之上。该假设隐含地将 GHD 限制于足够长的时间尺度足够局域的可观测量范围内——在此条件下,热化假设才是可靠的。鉴于 GHD 在预言实验观测方面的巨大成功,自然引出如下关键问题:这些假设可在多大程度上被放宽?我们还能进一步获知什么?具体而言:

  • GHD 在何种时间尺度上开始适用?
  • 流体动力学展开可构建至何阶仍保持预测能力?
  • 更小尺度上演生自由度的物理含义、数学结构及其涨落统计性质为何?
  • 能否通过准粒子图像与系统性 dressing 算法,将 GHD 推广至描述线性响应之外的关联(如第 III 节讨论的涨落高阶矩),乃至非守恒密度可观测量的关联?
  • 如何将 GHD 扩展至一维可积系统之外?例如,如何迈向高维可积性,或刻画系统从可积动力学到混沌动力学转变过程中涨落统计的演化?
  • 在更小的时空尺度与低温下,如何完整纳入量子效应
  • 最后,GHD 方程自身能否涌现出新的大尺度结构?

上述问题构成了当前 GHD 研究的核心驱动力。

以下我们将综述其中部分问题的已知进展与尚存的根本性困惑。如我们将看到的,近期的实验与数值工作已揭示诸多意料之外的现象:例如,流体动力学区域在出人意料的短时间内即已建立;可积性破缺对输运的影响可能异常微弱;某些可积系统区域中的涨落性质持续呈现反常行为,其机制超出了我们当前的计算能力。我们还将简要概述另一互补研究方向——即试图对 GHD 的基本假设进行严格数学证明,从而有望阐明 GHD 的适用范围问题。

A. 局域弛豫与流体动力学的起始

GHD 依赖于局域弛豫至广义吉布斯系综(GGE)。因此,GGE 何时出现是一个核心问题(该问题本身已超出 GHD 框架)。一系列淬火实验对此进行了研究:初始将气体置于单根一维管中,随后将其相干分裂为两根平行管(即管横截面从单势阱形变为双势阱)。该分裂过程产生非平衡初态[217],其后续演化可通过物质波干涉术测量。此类淬火在空间上是均匀的,因此所探测量的弛豫在某种意义上是显式局域的。

对干涉对比度全分布函数的测量揭示了一种看似热化的弛豫终态[218,219],尽管系统显然未达真正热平衡——因其对应温度远低于初态温度。实际上,所观测到的弛豫动力学体现为预热化(prethermalization)。通过监测两凝聚体间的相位相干性,发现预热化态的热关联在局域上几乎瞬时以最终形式出现,并以类光锥方式在系统中传播[222]:预热化关联建立在与声速成正比的距离内,而由分裂过程产生的初始长程相位相干性则在更大距离上得以保持。系统持续演化,直至达到一种准稳态——其特征为整个系统范围内关联函数呈指数衰减。

对一系列不同分裂淬火后两点(及更高阶)相位关联的分析表明,该预热化态对应于一个 GGE[223]:所提取的不同 Bogoliubov 模占据数无法用单一温度的热分布描述,而需引入 GGE 的多个拉格朗日乘子;且所提取的高阶关联明显区别于热态。在初始弛豫至 GGE 后,实验进一步观测到向真正热平衡的极缓慢弛豫过程。但需注意:实验所测量的声子基矢并非 Lieb–Liniger 模型的真实本征态,因而部分退相位可通过可积动力学本身发生[91,229];尽管可积系统自身不会热化,但微弱的可积性破缺可辅助该过程(详见第 IV.B 节)。

“在类流体动力学光锥内快速弛豫至 GGE,光锥外则存留长程关联”这一图像极具说服力,但仍存在重要开放问题:

  • 如何确定淬火过程激发出哪些流体动力学模及其强度?
  • 光锥外的长程关联据信源于相干事件中发射的关联流体模,但对此类关联的定量描述仍是一大挑战;
  • 或许更关键的是,当应用于空间非均匀的流体动力学演化时,该图像变得极其复杂。事实上,已知只要存在空间非均匀性(即使在大尺度上),关联模便会持续发射并与相互作用耦合[230]。换言之,在推导流体动力学时所名义上假设的“局域弛豫”,实际上从未真正发生。那么,流体动力学涌现的真实机制究竟是什么?

但问题不止于此。重离子碰撞研究[231]表明,流体动力学甚至可在局域弛豫完成之前就已出现,该过程被称为流体动力学化(hydrodynamization)[232–234]。近期一项实验[90]对 Lieb–Liniger 气体的流体动力学化进行了研究:在 Bragg 脉冲序列引发的高能淬火之后,观测到远距离动量模之间能量的快速重分布。原子动量通常是快度态的复杂叠加,其相对相位演化会改变动量模占据数,因此弛豫时间尺度由快度态间最大能量差决定;而同时测量的快度分布在此时间尺度上保持恒定。随后,观测到的流体动力学化被局域预热化过程接续——动量分布藉由激发准粒子的扩散而弛豫。值得注意的是,该弛豫时间尺度异常之短,且被发现与动量成反比。

流体动力学化流体动力学涌现之间如何相互作用?这对流体动力学涨落(第 IV.C 节讨论)尤为重要:事实上,流体动力学化极可能构成了涨落大偏差理论的基础,因为它使得流体动力学描述可在远短于大尺度涨落典型时间尺度上建立——而这正是宏观涨落理论的前提条件。

B. 破坏可积性

但不可积扰动具有高度非平凡的效应,破坏可积性提出了非常深刻的问题。由于非可积模型的流体动力学方程具有非常不同的结构和现象学,前者如何从后者在可积性破坏下出现?GHD自由度如何与在扩散尺度上相关且线性退化禁止冲击波出现的流体动力学涨落相关,转变为在局部可观测的、在大尺度上守恒量的涨落,以及非平衡电流上?需要什么时间尺度?更重要的是,局部可观测性的后果是什么?最后,也许最关键的是,是否存在一个通用理论来描述交叉点,以及是否存在可积性破坏的定量理论?当然,可积性破坏的定量理论将取决于实验细节,但是否存在一般原则?主导效应是什么?对可积性破坏的观察将为我们提供对多体物理学最深刻的见解?

直观上,不可积扰动的主要效应是在长时间内使准粒子分布热化:准粒子可以相互散射并获取有限的寿命。换句话说,可积性破坏在可积的玻尔兹曼动力学中引入了一个碰撞项。因此,具有碰撞项的通用流体动力学方程应该会出现,这是非可积系统的特征。如果没有与守恒量重叠的残余电流,如在典型的非可积自旋链中,结果就是纯粹的扩散流体动力学方程(对于能量、自旋等)。否则,仍然存在弹道传输,欧拉尺度的双曲方程会出现,通常具有超扩散修正(在一维中)。我们现在讨论从GHD到这种流体动力学方程的过渡。

  1. 黄金法则方法及其挑战

外部空间依赖势通常也会破坏可积性。这在欧拉尺度上并不明显,但在外部势存在的情况下进行扩散计算[122]显示了类似于“广义玻尔兹曼”形式(7)的可积性破坏效应。在这样的外部势中的动力学以及可积系统长时间热化的过程更为复杂,包括从相空间中形成小结构的时间明显混沌到缓慢的扩散主导热化[48,122,248]。这揭示了湍流效应[248],这些效应仍然在很大程度上未被研究。

我们也应该注意到,几项工作已经暗示了在几乎可积系统中存在广泛的异常(非扩散)传输机制[159,249],其中一些准粒子即使在可积性破坏扰动存在的情况下也能存活很长时间。这些导致传输异常,显然与非可积高利耶系统中看到的那些不同。在这个方向上仍有许多需要理解的地方。

  1. 实验测试:维度交叉

在没有受控理论方法的情况下,我们对几乎可积系统的流体动力学的了解大多来自实验。一个特别有吸引力的案例是弱破坏的一维性。在超冷气体的实验中,通过在两个横向方向上紧紧限制原子来实现一维系统;如果横向势能的能级间隔

远远超过气体的任何内部能量尺度,那么该系统可以很好地近似为一维[250-252]。通过放松陷阱,使得每个原子的碰撞能量超过

,可以进入维度交叉[253]或准一维[254]状态。此时,原子可以散射到横向势能的激发态,从而破坏可积性。或者,具有显著偶极-偶极相互作用(DDIs)的原子气体,如镝,通过DDIs的长程而非接触性来破坏可积性。在实现一维管阵列的光学晶格实验中,偶极相互作用不仅在管内产生相互作用,还在管之间产生相互作用。在这些准一维状态下的热化分别在参考文献[86,255]和[256]中使用量子牛顿摆装置进行了研究。在这两种装置中,都可以调节可积性破坏的程度,从而能够系统地研究对可积性的扰动。两个实验中观察到的动量分布的动力学非常相似,尽管可积性破坏的机制非常不同。在短时标上,由于一维势能的非谐性和晶格中的非均匀性,去相位过程导致系统迅速松弛到非热态。同时,在较长(可调)时标上,可积性的破坏导致系统热化(见图4)。对强偶极镝气体的深入研究表明,可访问的偶极相互作用强度对这些气体的平衡动量和快速度分布产生了可分辨的但数量上较小的变化:在主要阶上,它们弱地重新定义了Lieb-Liniger模型的参数[209]。因此,可以微观地推导出一个玻尔兹曼型碰撞积分来描述DDIs的可积性破坏扰动[257]。结合GHD,应该能够实现对参考文献[256]中实验的完整流体动力学描述,尽管尚未实施。对于具有横向激发的系统,构建了一个更启发式的碰撞积分,并将其整合到完整的GHD描述中[86]。通过与实验观察[255]的直接比较,准一维GHD在足够长的演化时间内正确捕捉到了动量分布的观察到的动力学,而传统的GHD失败了。此外,通过带映射技术测量的处于横向激发态的原子分数,与碰撞模型[图4(b)]非常一致。

这些实验关注的是动量分布的演化,而不是理论上更易处理的快速度分布。因此,将结果与GHD预测进行比较并不直接。如上所述,最近的实验进展允许测量快速度分布[208],这可以更直接地与理论进行比较。在这种新技术的启发下,重新进行非可积Lieb-Liniger气体的实验将提供关于这些系统中混沌开始的更细粒度的数据。

在这些牛顿摆淬灭实验中,平衡的接近至少可以用简单的黄金法则估计来定性描述。当实施温和而不是剧烈的淬灭时,会发现更丰富的现象学。回想一下,黄金法则散射率不仅取决于非可积扰动的强度,还取决于粒子-空穴激发的可用相空间[242]。这对于具有费米准粒子的模型尤其明显,如Lieb-Liniger模型;如果所有出射散射态已经被占据,玻尔兹曼碰撞积分将随着散射过程变得泡利阻塞而消失。这种泡利阻塞效应在实验中被实现[91],使用一个被限制在一维盒陷阱中的准凝聚体[258]。盒陷阱能够在整个系统中建立所有低快速度态的完全占据,而陷阱的温和淬灭,保持了这种占据,引发了动力学(与量子牛顿摆的布拉格脉冲淬灭相反)。观察到的动力学没有显示出非可积过程的迹象,并与GHD预测相匹配,即使在温度高达几个横向能级间隔[图4(c)]时,即远非传统的一维性极限[259]。结果表明,可积性可能是一个比以前认为的更稳健的属性,并激发了对由准粒子统计引起的现象的进一步、更系统的调查,特别是在超出一维玻色气体的系统中。

总结来说,对具有弱可积性破坏的连续气体的实验研究导致了对热化过程的定量描述,这些描述超出了任何系统理论。定性上,这些结果中的许多可以使用GHD框架来解释:其中一些具有非平凡的现象,如泡利阻塞。除了对理论家提出挑战外,这些实验也可能提供了一个机会:例如,在给定的哈密顿量中,可能能够从给定初始状态的淬灭中学习碰撞积分,然后使用该碰撞积分,结合GHD,来预测其他淬灭后的动力学。这种一致性检查将建立玻尔兹曼方法的有效性,即使碰撞积分在理论上仍然无法获得。

C. 相关性、涨落和大偏差

在这些方向上仍然存在重要的未解决问题。首先是理解扩散或超扩散和高阶流体动力学如何影响大尺度涨落的统计。目前,欧拉尺度涨落的最新发展唤起了上述的弹道MFT[230,267],以及更成熟的扩散系统的MFT理论,它们只是不同的理论。对于可积系统,这是一个困难的问题,因为扩散涨落的特殊结构,如在II.C节中回顾的。例如,任何通过额外噪声对弹道MFT进行简单扩展的尝试可能都是不够的。重要的是,人们会期望新的可积性特征和大量的普适性。此外,理解GHD高阶中的涨落目前还无法实现,就像理解可积性破坏扰动的影响(见IV.B节:MFT如何在大时间下出现,随着破坏守恒量的衰减?)。

为了将这些问题具体化,我们专注于所谓的全计数统计(FCS)[175,216,264-266,268,269,271-279]及其相关的大尺度相关函数,但我们注意到,类似的思想已被用于计算,例如,可积系统的泵浦-探测响应[261,263],在这些系统中确实看到了强烈的可积性特征。

I. 全计数统计

在GHD的背景下,FCS已经通过实验测量(图5)从远离平衡的初始状态开始,使用量子显微镜研究海森堡自旋链中的超扩散传输[88];在耦合梯子系统中,其中梯子耦合可以用来调节可积性破坏[282];以及在超导量子比特设备中,以揭示海森堡量子自旋链中的KPZ缩放偏差[199]。

  1. 弹道涨落理论

如IV.A节中提到的,这种弹道长程相关性引发了关于基于流体动力学出现的局部松弛过程的问题。这在扩散和更高阶中尤其重要,其中涨落的影响变得至关重要。在这种新视角下,可能需要重新思考流体动力学的出现,并且应该在GHD的背景下是可能的。对扩散和更高阶修正对长程相关性的理解也完全缺失。目前,公平地说,包括涨落、空间不均匀状态和长程相关性在内的可积系统直到扩散阶的完整流体动力学理论的发展仍处于起步阶段。

  1. 相位涨落和相关性的指数衰减

令人惊讶的是,可以使用大偏差方法来获取其他通常不在标准流体动力学中考虑的可观测量的动态行为。其思想是将这些可观测量与适当守恒量的涨落联系起来。一类可观测量是相位场,如正弦-戈登场,这些场是实验上可访问的(参见III.C和III.E节)。正弦-戈登场与“拓扑电荷”相关,而弹道涨落理论预测了其在时空中的完整大尺度涨落[285]。另一类是“序参数”,它们与流体动力学模式不重叠:可以提取它们的指数衰减[265,285,286]。这打破了传统观点,即流体动力学理论与代数渐近展开相关。人们预测FCS的倒数

是两点相关函数的相关时间。这是通过Jordan-Wigner变换(如XX链[286])获得的,重现了通过第一性原理解析方法[287,288]获得的结果;或者对于顶点算符,它们是非紧致变量(如正弦-戈登模型[285]所描述的)的指数。

到目前为止,传统的可积性技术一直未能描述由正弦-戈登模型[285]描述的(非紧致)相位场,其中在这种情况下,预测的指数衰减与半经典计算[154,289]形成对比。弹道涨落理论似乎解释了由可积性允许的相干结构形成的确切流体动力学模式,并且由于拓扑电荷分布在一系列准粒子上而不是由“孤立”的流体动力学模式携带,因此获得了指数衰减;因此,这是可积性的标志。在非可积模型中,存在类似的可观测量,衰减预计会更弱[290]。

目前,包括长程相关性、非均匀设置、相位涨落和某些指数衰减在内的欧拉尺度涨落技术相当先进,但独立的数值、实验或分析确认[291]具有挑战性。此外,许多可观测量的流体动力学表达式,如包含关于物理动量分布信息的Lieb-Liniger模型的基本场,仍需解决。使用这些思想将这些涨落与量子纠缠熵联系起来[52,262,264]以及理解相互作用模型中的纠缠-涨落对应关系[292-295]仍然是未解决的问题。

  1. 超越欧拉尺度的异常全计数统计

虽然弹道涨落理论框架适用于欧拉尺度动力学,但可积系统中FCS的一些最令人惊讶的方面超出了欧拉尺度。如前所述,这些的一般框架迄今为止仍然缺失。例如,人们可能会问及量子效应[296]、扩散和高阶效应等。这些新状态已经通过实验、数值和可积单元自动机的精确解的结合部分探索过。这些探索导致了在一系列可积模型中发现了一个全新的、强烈的非高斯FCS状态,包括易轴XXZ自旋链。我们简要描述这些发展,重点关注XXZ自旋链的大-Δ极限[160,297]的简单情况。

D. GHD的严格证明

最近的结果也在不同严格程度上确立了GHD方程的有效性。特别是,“速率方程”(3)在各种温和假设下通过组合技术[304]、自守恒电流的存在性[305]、形式因子[106]和代数贝特解析技术[306-308]得到了证明。在局部松弛假设下,这些结果共同坚定地确立了GHD在欧拉尺度上的有效性。我们建议读者参考最近的综述[110,309]以获取更多细节。在某些经典系统中,有关GHD方程出现的强数学结果可用[113,116,310],最近的工作也在量子系统中探索了从头算推导,放弃局部松弛的假设,从动力学理论和半经典原理开始[311,312]。但要建立从量子情况下的一般非平衡态开始的GHD的出现,仍有许多工作要做。证明从微观、确定性动力学中出现的流体动力学方程的出现,一般来说,是一个极其具有挑战性的问题;然而,有希望的是,通过可积性技术,这将对GHD成为可能。特别感兴趣的是证明包括扩散常数和量子修正在内的高阶项的形式。

V. 展望

我们回顾了广义流体动力学(GHD)的最新成功,从计算以前认为完全无法达到的各种传输系数(如扩散常数)到对任意平滑的时间和空间依赖势中捕获的玻色气体远离平衡动力学的定量描述。这些成功使GHD成为描述一维非平衡动力学的标准工具的一部分。GHD的定量预测激发了新一代实验,这些实验可以访问以前被认为不切实际或不可能测量的可观测量——如完整的快速度分布或电荷的全计数统计。

如我们在第四节中概述的,许多未解决问题仍然存在。这些问题背后的共同主题是将GHD以及更广泛的流体动力学原理扩展到其传统范围之外——超出严格可积(或严格一维)系统,超出传输,以及超出渐近晚期时间的限制。在这些领域中,GHD已经被用来做出非平凡的定量预测,如非流体动力学算符相关函数的指数衰减[286],量子纠缠的大规模增长[262],以及在对称可积性破坏存在下的异常传输的稳健性[159]。然而,到目前为止,我们缺乏在这些背景下应用GHD的一般框架,一些问题(如GHD开始的时间尺度)在当前可用方法下仍然难以解决。一个密切相关的未解决问题涉及更高维度可积系统的动力学,其中人们可能希望为某些湍流表面水波提供理论。

另一个重要的前沿是将GHD扩展到低熵初始状态,在这些状态下量子涨落主导热涨落。对于处于平衡的均匀系统,Luttinger液体理论提供了一种强大的技术来计算相关函数。量子GHD框架最近将这一理论扩展到从强烈非均匀初始状态的淬灭[144],这些状态是“局部”Luttinger液体。然而,许多实验相关的系统超出了量子GHD框架,包括在海森堡模型中的域壁和螺旋态的淬灭[83,313,314]。在这个低熵增益状态下识别独特的量子涨落效应是一个有前景的未来研究方向。一类相关的低熵但高能状态是亚稳态[315–317],如超Tonks气体。这些状态可以通过协议创建,其中相互作用被绝热调谐到强排斥点,然后突然切换到强吸引。排斥气体的基态波函数与吸引气体的特定非热激发态波函数强烈重叠,因此这个过程准备了后者状态。GHD的思想已成功用于描述这种状态制备协议产生的快速度分布[235,317]。这些状态如何响应扰动,以及它们在非可积系统中如何热化,是未来工作有趣的问题。

在实验方面,GHD提供了许多有待验证的惊人预测,例如在有间隙的XXZ自旋链中的非高斯全计数统计。此外,GHD为近期量子设备提供了强大的基准测试工具。像易平面XXZ自旋链中的低频电导率这样的可观测量对哈密顿(或门)参数极为敏感[76],允许人们基准测试这些参数的实现精度。此外,可积系统具有一系列守恒密度,其支持在越来越多的站点上,因此对噪声越来越敏感;在非平凡动力学演化期间保持这些守恒量将是对容错能力的严格测试。

原文链接:https://journals.aps.org/prx/pdf/10.1103/PhysRevX.15.010501

本文参与 腾讯云自媒体同步曝光计划,分享自微信公众号。
原始发表:2025-11-24,如有侵权请联系 cloudcommunity@tencent.com 删除

本文分享自 CreateAMind 微信公众号,前往查看

如有侵权,请联系 cloudcommunity@tencent.com 删除。

本文参与 腾讯云自媒体同步曝光计划  ,欢迎热爱写作的你一起参与!

评论
登录后参与评论
0 条评论
热度
最新
推荐阅读
领券
问题归档专栏文章快讯文章归档关键词归档开发者手册归档开发者手册 Section 归档