大熊座III质量的贝叶斯探索:运动学、自转及其对质光比的影响
A BAYESIAN EXPLORATION OF THE MASS OF URSA MAJOR III:KINEMATICS, ROTATION AND THEIR INFLUENCE ON THE MASS TO LIGHT RATIO
https://arxiv.org/pdf/2602.17957

摘要
我们利用贝叶斯推断研究了潜在的超微弱矮星系(UFD)UMa III/U1的运动学,以寻找任何潜在内禀旋转的信号。旋转的幅度与估算UMa III/U1的总质量相关,这对于确定UMa III/U1究竟是一个UFD,还是一个拥有显著双星比例的星团至关重要。针对UMa III/U1当前的成员星总体,我们拟合了一个非旋转模型和一个旋转模型,发现非旋转模型受支持的程度约为旋转模型的5到12倍。这一过程在UMa III/U1的一个经过筛选(数量减少)的群体上重复进行,其中潜在的污染星已被移除。对于这些经过筛选的群体,也发现了类似的对于非旋转的偏好。我们计算了UMa III/U1的一个下限旋转质量估计值,以及对应于总体的下限质光比,数值为

。我们要得出结论,UMa III/U1仍然是一个性质模棱两可的天体,对于UFD和自引力星团这两种假设都有成立的论据,然而在这两种假设下,UMa III/U1都不太可能由旋转压力提供支撑。
主题词:星系:运动学和动力学——方法:统计学
1. 引言
自从玉夫座星系(Sculptor galaxy)——银河系第一个发现的微弱矮星系——被发现以来,对类似系统的搜寻范围不断扩大,随着更深场巡天数据的出现,更暗弱的系统也被观测到了 (Shapley 1938)。然而,直到2005年,斯隆数字巡天 I (SDSS; Willman et al. 2005a,b) 才鉴定出第一批超微弱矮星系(UFDs)。UFDs 被定义为绝对 V 波段星等

,它们是已知最古老且金属丰度最低的恒星系统之一 (Simon 2019)。关于 UFDs 的首批光谱研究是由 Kleyna et al. (2005) 和 Muñoz et al. (2006) 分别对 UMa 1 和 Boötes 1 进行的,结论是 UFDs 不可能是纯粹的重子系统。随后,Martin et al. (2007) 和 Simon & Geha (2007) 利用 Keck II/DEIMOS 仪器对当时剩余的 UFDs 进行的后续工作进一步加强了这一结论。对已知 UFDs 的运动学分析揭示了这些系统的动力学质量与恒星质量之间存在差异,暗示每个 UFD 中都存在显著数量的暗物质 (Simon 2019)。
这些特征使得 UFDs 成为在小尺度上探测暗物质性质以及理解支配第一批星系形成过程的理想场所 (Bovill & Ricotti 2009, 2011; Calabrese & Spergel 2016; Errani et al. 2018)。银河系中 UFDs 的总数也为暗晕所能拥有的最低质量设定了一个上限,从而限制了暗物质粒子的质量 (Jethwa et al. 2017)。


UMa III/U1 质光比之前的估计使用了一个非旋转运动学模型来预测成员星的速度 (Smith et al. 2024)。这反过来假设 UMa III/U1 完全是由暗物质压力支撑的,而不是由旋转支撑,这对系统的估计速度弥散有直接影响,进而影响质光比 (Wolf et al. 2010)。鉴于质光比估计对于 UMa III/U1 的其他各种量有多么重要,需要进一步的运动学探索。本研究的主要目标是确定 UMa III/U1 是否表现出任何旋转,以及这在多大程度上影响估计的质光比。
本文结构如下:首先,在第 2 节中,我们总结了关于 UMa III/U1 的现有文献。在第 3 节中,我们概述了我们的方法,在 3.1 小节详细介绍了数据,在 3.2 节介绍了我们的贝叶斯方法,在 3.3 节介绍了我们的运动学建模。我们在第 4 节展示结果,在第 5 节给出结论。
2. 背景/文献综述
UMa III/U1 潜在的高质光比对宇宙学和星系形成理论具有更广泛的意义。在 Lambda 冷暗物质(ΛCDM)范式下,预言存在大量低质量暗物质晕,它们可能容纳像 UMa III/U1 这样的暗弱星系(Klypin et al. 1999; Bovill & Ricotti 2009; Bullock & Boylan-Kolchin 2017; Simon 2019)。研究 UMa III/U1 可能有助于完善这些形成模型,并增进我们对星系形成所需最小晕质量的理解。它也为替代性暗物质理论提供了一个有价值的测试案例,这可能为暗物质本身的基本性质提供新的见解(Zhang et al. 2024; Errani et al. 2024b)。此外,UMa III/U1 可能是一个矮椭球星系(dSph),这使其成为研究暗物质湮灭的一个有吸引力的候选体。尽管 UMa III/U1 处于 dSph 质量的低端,但其较近的距离和潜在的高质光比导致其 J 因子约为

,明显高于常见的值(Zhao et al. 2024)。



Rostami-Shirazi et al. (2025) 对 UMa III/U1 进行的额外 N 体模拟表明,一个缺乏暗物质的前身天体最能准确地重现 UMa III/U1 当前的性质,这进一步支持了 UMa III/U1 是一个自引力星团的观点。Cerny et al. (2025) 的后续光谱分析倾向于较小的速度和金属丰度弥散,并对这两个值设定了上限。这些值并未提供支持暗物质的观测证据,反而倾向于星团群体的解释——尽管在获得高分辨率丰度模式和更严格的多历元运动学数据之前,UFD 情景仍然可行。
3. 方法
3.1. 数据
本分析中使用的所有数据均来源于原始发现论文(Smith et al. 2024)中的表 3。这 11 颗径向速度成员星是通过匹配滤波算法被鉴定为一个群体的。关于成员星似然度如何分配以及匹配滤波算法的详细说明,可在 Smith et al. (2024) 的原始发现论文中找到。所有 11 颗成员星均展示于图 1 中。


3.2. 贝叶斯推断
为了探测 UMa III/U1 中可能存在的旋转,我们将使用贝叶斯推断来确定属于旋转模型(见表 1)的参数的后验分布。研究这些后验分布将使我们能够量化 UMa III/U1 正在旋转的概率,并据此估计 UMa III/U1 的总质量。这些后验分布由贝叶斯定理给出:



3.3. 运动学分析
为描述UMa III/U1成员星的速度分布,采用Veljanoski等人(2014)提出的V1单分量旋转模型。该模型由一个旋转分量和一个速度弥散组成。完整的视线速度模型可表述为:


3.4. 先验分布




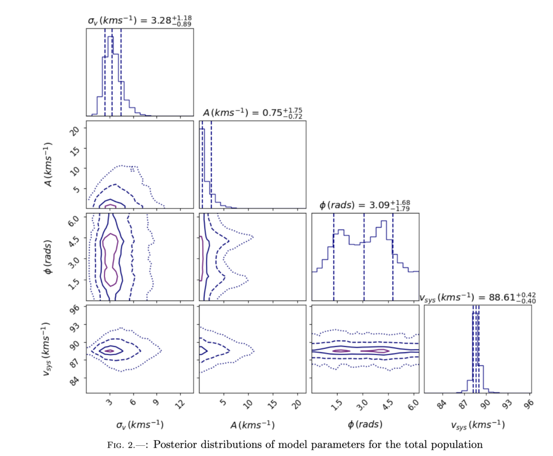
4.2. 缩减样本
现在使用与 Smith et al. (2024) 相同的方法从样本中剔除成员星,首先排除速度最大的离群值,然后由于高信噪比(S/N ratio)排除另一个成员(即 Smith et al. (2024) 表 3 中的 #2 和 #4 星)。缩减后的

模型的后验分布如图 3 所示。



4.3. 质量估算
这里使用了与 Lewis et al. (2020) 相同的质量估算器。所有质量计算均使用总体样本进行。在特定半径 rr 内包含的估算质量由下式给出:





因此,UMa III/U1仍然是一个模糊不清的天体,超微弱矮星系(UFD)和自引力星团两种情景目前均仍具可行性。我们得出结论:无论UMa III/U1最终被证实属于哪种情景,它由旋转支撑的可能性都非常低。为帮助减少未来研究中的这种模糊性,需要对UMa III/U1进行持续的速度测量。
在本文审稿的最后阶段,Cerny et al. (2025) 发布了第二批次速度测量数据。我们已对这些新速度数据进行了初步分析,发现"缺乏显著旋转分量"的结论得到了支持。我们将在后续贡献中呈现更详细的分析。
原文链接:https://arxiv.org/pdf/2602.17957