首页
学习
活动
专区
圈层
工具
发布
首页
学习
活动
专区
圈层
工具
MCP广场
社区首页 >专栏 >深度学习入门(四)——从激活到注意力:神经网络的现代模块与工程实践

深度学习入门(四)——从激活到注意力:神经网络的现代模块与工程实践

作者头像
海棠未眠
发布2025-10-22 16:46:23
发布2025-10-22 16:46:23
2600
代码可运行
举报
运行总次数:0
代码可运行

在前三篇中,我们已经走完了神经网络的核心理论路径—— 从神经元到前向传播,从损失函数到反向传播,从优化算法到数值稳定。 你现在已经可以手写一个两层网络并跑通梯度下降

但如果要让一个网络真正「跑得快、收敛稳、效果好」, 光有数学推导远远不够。

深度学习的成熟来自工程化——各种模块、正则化手段、数值技巧和结构设计。 这一篇,我们就来系统地梳理神经网络在实际中最重要的几个「现代模块」与「工程问题」, 从直觉到原理,让你能真正理解它们为什么存在、该在什么地方用。


一、激活函数:非线性的本质与选择

1. 为什么需要激活函数?

如果没有激活函数,神经网络每一层都是线性变换。 多个线性层叠加仍然是线性函数。 这意味着无论堆多少层,你都无法逼近非线性关系。

所以,激活函数的核心作用是:引入非线性,使网络能表达复杂映射


2. Sigmoid 与 Tanh:早期的经典

最早使用的激活函数是 sigmoid:

它的输出在 (0, 1) 之间,形状平滑,适合二分类概率建模。

但问题也明显:

  • 在 |x| 很大时,梯度几乎为 0 → 梯度消失
  • 输出非零均值,导致每层输入偏移

Tanh(双曲正切)是 sigmoid 的改进:

输出范围 (-1, 1),均值居中,效果稍好,但依旧有梯度消失问题。


3. ReLU 的崛起

Rectified Linear Unit(ReLU)是目前最主流的激活函数:

优点:

  • 计算极快(只需取最大值)
  • 正区间梯度恒为 1,避免梯度消失
  • 稀疏激活,部分神经元可自然「休眠」

缺点:

  • 负区间梯度为 0 → 神经元死亡问题
  • 在部分任务上表现不稳(尤其是输入数据分布变化较大时)

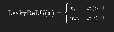
4. Leaky ReLU、ELU、GELU:改良版本

为解决 ReLU 的“死亡问题”,出现了 Leaky ReLU:

通常取 α = 0.01。

进一步的改良如 ELU、GELU(Transformer中使用):

其中

是标准正态分布的累积分布函数。

GELU 在数学上近似「输入越大越可能被保留」,更平滑自然。 这也是为什么几乎所有 Transformer 模型都采用 GELU。


5. 实战建议

场景

建议激活函数

普通全连接层

ReLU 或 Leaky ReLU

RNN/LSTM

Tanh / Sigmoid

Transformer / BERT 类模型

GELU

稀疏特征或非负输入

ReLU

对梯度平滑性敏感任务

ELU 或 Swish

一句话总结:默认用 ReLU,不够平滑用 GELU。


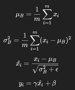
二、Batch Normalization:让训练更稳

1. 为什么需要 BN?

在训练深层网络时,随着层数加深,输入分布不断变化, 导致后续层的学习变得困难。 这种现象叫做 Internal Covariate Shift

Batch Normalization 的想法非常简单: 在每一层中,把中间激活值标准化成均值 0、方差 1,再引入可学习的缩放与偏移。


2. 公式

对每个 mini-batch:

其中 γ、β 是可学习参数。


3. BN 的好处
  • 缓解梯度消失与爆炸问题
  • 提高学习率容忍度
  • 加快收敛速度
  • 起到一定正则化作用

4. 实践注意点
  • 推理阶段使用移动平均的均值与方差
  • 对小 batch(如小于 8)时 BN 不稳定 → 可用 LayerNorm 替代
  • 在 Transformer 中,LayerNorm 更常见,因为它对 batch size 不敏感

三、Dropout:一种简单而强大的正则化

1. 过拟合的本质

神经网络参数众多,训练集很容易被「记住」。 当模型过于依赖少数神经元时,泛化能力就会下降。


2. Dropout 的思想

在训练时,随机将一部分神经元“丢弃”(置为0):

这样网络在每次训练时都像在「抽样多个子网络」, 从而避免单一神经元过度依赖。


3. 实现与注意

伪代码:

代码语言:javascript
代码运行次数:0
运行
复制
for each layer l:
    mask = random_matrix(shape=a[l], keep_prob=p)
    a[l] = a[l] * mask / p

推理阶段:

代码语言:javascript
代码运行次数:0
运行
复制
a[l] = a[l]  # 不做丢弃

实战经验:

  • 对小模型:p=0.1~0.3
  • 对大模型:p=0.3~0.5
  • 在 BN 之后使用效果更稳定

四、卷积与注意力:特征提取的两种路径

1. 卷积:空间局部性的表达

卷积神经网络(CNN)是图像任务的基石。 其核心思想是局部感受野权值共享

以二维卷积为例:

这样,卷积核(filter)可以自动学习空间局部模式,如边缘、角点、纹理等。 随着层数加深,卷积层学到的特征也从「低级」变成「高级」。


2. 卷积的演化:从 LeNet 到 ResNet
  • LeNet(1998):首个 CNN,用于手写数字识别
  • AlexNet(2012):GPU+ReLU+Dropout,引爆深度学习浪潮
  • VGG(2014):统一 3×3 卷积结构,层数更深
  • ResNet(2015):引入残差连接(skip connection)

残差结构核心思想:

允许梯度直接跨层传播,从根本上解决了深层网络训练难的问题。


3. 注意力机制:打破空间固定性的限制

卷积的局部性是一把双刃剑。 它高效,但只能捕捉邻近区域关系。 对于全局依赖任务(如语言理解),这种结构不够灵活。

注意力机制(Attention) 由此诞生。 核心思想: 让每个位置都能“关注”输入序列中其他位置的重要性。

公式:

其中:

  • Q: Query(当前元素的查询向量)
  • K: Key(全体元素的键向量)
  • V: Value(全体元素的值向量)

每个输出是所有输入的加权平均,权重由相似度决定。 这让模型具备「全局依赖建模能力」。


4. 从注意力到 Transformer

Transformer(2017)用纯注意力结构取代了循环与卷积, 实现了并行、高效、强表达的特性。

核心结构:

  • Multi-Head Attention(多头注意力)
  • Position-wise Feed Forward(逐位置全连接)
  • Layer Normalization
  • 残差连接

伪代码概要:

代码语言:javascript
代码运行次数:0
运行
复制
for each layer:
    x = x + MultiHeadAttention(LayerNorm(x))
    x = x + FeedForward(LayerNorm(x))

五、训练调试与部署注意事项

1. 学习率选择
  • 初学者常见错误:学习率过大或过小。
  • 建议:从 1e-3 起,观察损失曲线振荡程度调整。
  • 现代方法:使用 Cosine Annealing 或 Warmup 策略。

2. 初始化策略
  • Xavier(均匀分布):适合 tanh
  • He 初始化:适合 ReLU 系列
  • 过大 → 梯度爆炸;过小 → 梯度消失

3. 正则化
  • L2 权重衰减(weight decay)
  • Dropout
  • 数据增强(augmentation)

4. Debug 技巧
  • 先跑一个小 batch,确保前向输出与损失正常
  • 梯度检查(gradient check):验证反向传播是否正确
  • 梯度可视化:查看是否消失或爆炸
  • 学习曲线:训练集与验证集误差是否同步下降

5. 部署阶段注意
  • BN 改为固定统计量
  • Dropout 关闭
  • 使用混合精度(float16)加速
  • 对模型进行量化 / 蒸馏以减小体积

六、总结:深度学习的工程之美

回到最初的问题——为什么深度学习能起飞? 不仅因为有数学推导,更因为工程化体系成熟:

  • ReLU 让梯度流动顺畅
  • BatchNorm 让训练稳定
  • Dropout 让模型泛化
  • Residual 与 Attention 让信息传递高效
  • 优化算法让训练变得可控

从「感知机」到「Transformer」, 深度学习走过了从经验到体系的漫长过程。 每个改进都不是偶然,而是对真实工程问题的回应。


尾声 · 写给正在学习的你

如果你一路读到了这里,请给自己一点肯定。 你已经掌握了神经网络的全流程原理—— 从数学出发,理解算法,再到工程实现。

接下来你可以:

  • 自己实现一个 mini 框架(从前向到反向)
  • 尝试在 MNIST / CIFAR10 跑出结果
  • 阅读经典论文(LeNet、ResNet、Transformer)
  • 学习自动求导与模型部署

记住一句话:

理论让你理解模型,工程让你驯服模型。

本文参与 腾讯云自媒体同步曝光计划,分享自作者个人站点/博客。
原始发表:2025-10-22,如有侵权请联系 cloudcommunity@tencent.com 删除

本文分享自 作者个人站点/博客 前往查看

如有侵权,请联系 cloudcommunity@tencent.com 删除。

本文参与 腾讯云自媒体同步曝光计划  ,欢迎热爱写作的你一起参与!

评论
登录后参与评论
0 条评论
热度
最新
推荐阅读
目录
  • 一、激活函数:非线性的本质与选择
    • 1. 为什么需要激活函数?
    • 2. Sigmoid 与 Tanh:早期的经典
    • 3. ReLU 的崛起
    • 4. Leaky ReLU、ELU、GELU:改良版本
    • 5. 实战建议
  • 二、Batch Normalization:让训练更稳
    • 1. 为什么需要 BN?
    • 2. 公式
    • 3. BN 的好处
    • 4. 实践注意点
  • 三、Dropout:一种简单而强大的正则化
    • 1. 过拟合的本质
    • 2. Dropout 的思想
    • 3. 实现与注意
  • 四、卷积与注意力:特征提取的两种路径
    • 1. 卷积:空间局部性的表达
    • 2. 卷积的演化:从 LeNet 到 ResNet
    • 3. 注意力机制:打破空间固定性的限制
    • 4. 从注意力到 Transformer
  • 五、训练调试与部署注意事项
    • 1. 学习率选择
    • 2. 初始化策略
    • 3. 正则化
    • 4. Debug 技巧
    • 5. 部署阶段注意
  • 六、总结:深度学习的工程之美
    • 尾声 · 写给正在学习的你
领券
问题归档专栏文章快讯文章归档关键词归档开发者手册归档开发者手册 Section 归档