首页
学习
活动
专区
圈层
工具
发布
首页
学习
活动
专区
圈层
工具
MCP广场
社区首页 >专栏 >深度学习入门(五)——常见模块与工程实践:从激活函数到BatchNorm、Dropout、初始化与训练稳定性

深度学习入门(五)——常见模块与工程实践:从激活函数到BatchNorm、Dropout、初始化与训练稳定性

作者头像
海棠未眠
发布2025-10-22 16:46:44
发布2025-10-22 16:46:44
2200
代码可运行
举报
运行总次数:0
代码可运行

一、前言

前几篇我们讲了神经网络的基本结构、反向传播机制,以及优化算法的演化。 到了这一步,模型的数学原理我们已经有了清晰的认识。 但在真正的训练过程中,你会发现事情并不如公式那般优雅。

有时候,模型刚开始训练就发散; 有时候,loss 会莫名停在一个地方不再下降; 有时候,同样的代码,只是改了个激活函数,效果就天差地别。

这些问题都属于训练稳定性与模型工程结构设计的范畴。 而这里面涉及的关键模块,正是——激活函数、Batch Normalization、Dropout、权重初始化、正则化与学习率调度等。

这篇文章,我们将以实践为核心、原理为支撑,深入探讨这些模块的作用机制与工程经验。


二、激活函数:让网络真正“活”起来

2.1 为什么需要激活函数

如果网络中每一层都是线性的,例如:

那其实整个网络可以简化为:

也就是说,多层线性变换仍然是线性变换。 这样一来,模型再深也无法拟合复杂的非线性模式。

激活函数的作用,就是在层与层之间引入非线性变换。 这使得神经网络能够逼近任意函数(即通用逼近定理)。


2.2 常见激活函数与分析
(1) Sigmoid

优点:

  • 输出范围在 (0,1),可视作概率;
  • 早期神经网络中使用广泛。

缺点:

  • 梯度容易在饱和区(x很大或很小时)变得接近 0;
  • 中心点非零(均值不为0),导致后层梯度偏移;
  • 在深层网络中容易出现梯度消失。
(2) Tanh

输出范围在 (-1,1),中心对称性更好,但仍存在梯度消失问题。

(3) ReLU

优点:

  • 简单高效;
  • 非线性明显;
  • 不会饱和(在正区间)。

缺点:

  • 负区间输出恒为0,可能导致“神经元死亡”(参数永远不更新)。
(4) Leaky ReLU

为了解决 ReLU 死亡问题,给负区间加上微小斜率:

常取

(5) GELU(Gaussian Error Linear Unit)

Transformer 等模型常用:

其中

是标准高斯分布的累积分布函数。 它在

时平滑衰减,表现介于 ReLU 与 Sigmoid 之间。

直观理解:GELU 比 ReLU 更平滑,对梯度友好;在大模型中普遍表现更优。


2.3 工程实践建议

场景

建议激活函数

卷积网络

ReLU / Leaky ReLU

RNN

Tanh / ReLU

Transformer / 大语言模型

GELU

小模型或轻量任务

ReLU 优先(计算快)

一般情况下,ReLU 是默认首选。 如果模型较深或对梯度流动敏感,可以考虑 GELU 或 Swish。


三、Batch Normalization:为训练稳定保驾护航

3.1 背景问题

在训练过程中,随着参数不断更新,各层输入分布也在变化—— 这被称为 Internal Covariate Shift(内部协变量偏移)。 这种变化会导致模型训练不稳定,学习率需要很小才能收敛。

Batch Normalization(简称 BN)由 Ioffe 和 Szegedy 于 2015 年提出,用于解决此问题。


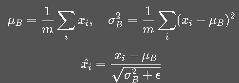
3.2 BN 的核心思想

BN 在每个 mini-batch 内,对每个通道的数据进行标准化:

然后引入可学习的缩放和平移参数:

这样可以让网络在不同 batch 间保持统计稳定性,又不限制模型表达能力。


3.3 BN 的优势
  1. 缓解梯度消失/爆炸
  2. 允许更高学习率,加速收敛;
  3. 起到一定正则化效果,减少过拟合。

3.4 实践细节
  • CNN:通常放在卷积层和激活函数之间或之后。
  • 全连接层:同理,可在激活函数前或后。
  • RNN / Transformer:可使用 LayerNorm 替代 BN,因为 BN 在时间维度上难以统计稳定。

3.5 BN 的推理阶段

训练时使用 batch 内统计量; 推理时使用移动平均统计量(running mean/var),以保持一致性。

伪代码:

代码语言:javascript
代码运行次数:0
运行
复制
# Training phase
mu = mean(x_batch)
var = var(x_batch)
x_hat = (x_batch - mu) / sqrt(var + eps)
y = gamma * x_hat + beta

# Inference phase
x_hat = (x - running_mean) / sqrt(running_var + eps)
y = gamma * x_hat + beta

四、Dropout:主动“遗忘”以防过拟合

4.1 背景

过拟合是深度学习常见问题。 模型参数太多时,会“死记硬背”训练样本,而不是学习通用规律。

4.2 思想

Dropout 的核心思路是:

训练时,随机“关闭”一部分神经元。

这样可以防止网络过度依赖某些节点,迫使模型学到更健壮的特征。

公式上:

其中 ppp 是保留概率。


4.3 推理阶段的处理

推理时,我们不再丢弃节点,而是按期望缩放:


4.4 实践建议

网络类型

Dropout 范围

全连接层

0.3~0.5

卷积层

0.1~0.3

RNN

使用 Variational Dropout

Transformer

常用 0.1

值得注意的是,在现代网络(如 ResNet, Transformer)中,BN 与数据增广 已足够强,Dropout 反而可能削弱性能。


五、权重初始化:深度学习的隐形基石

5.1 为什么初始化重要

在训练开始时,如果参数初始化不当:

  • 太大:梯度爆炸;
  • 太小:梯度消失;
  • 偏置过多:学习速度极慢。

所以,良好的初始化策略能显著提高模型收敛速度。


5.2 常见初始化方法
(1) Xavier 初始化

适用于 Sigmoid / Tanh 激活:

(2) He 初始化

适用于 ReLU / Leaky ReLU:

(3) Orthogonal 初始化

保持不同通道方向独立,适合 RNN。


5.3 实践经验

激活函数

推荐初始化

ReLU / Leaky ReLU

He 初始化

Tanh / Sigmoid

Xavier 初始化

GELU

He 初始化

RNN / LSTM

Orthogonal 初始化


六、正则化与泛化技巧

除了 Dropout,以下几种正则化也常用于深度学习:

6.1 L2 权重衰减

与 AdamW 结合效果最好。

6.2 数据增强

对于视觉任务,数据增强几乎是默认操作:

  • 随机裁剪、翻转、颜色扰动;
  • Mixup / CutMix;
  • AutoAugment 自动增强策略。

对于 NLP,可使用同义词替换、Mask、回译等。

6.3 Early Stopping

监控验证集 loss,当其不再下降时提前终止训练。


七、学习率调度:控制收敛节奏

即便是同一优化器,学习率曲线的设计 也会影响训练结果。

常见策略:

调度策略

特点

StepLR

固定步长下降

Cosine Annealing

平滑衰减,收敛稳定

Warmup + Cosine

Transformer 标配

Cyclical LR

周期性波动,可跳出局部最优

伪代码示例(Cosine):

代码语言:javascript
代码运行次数:0
运行
复制
lr_t = lr_min + 0.5 * (lr_max - lr_min) * (1 + cos(pi * t / T))

八、综合实践经验

  1. 激活函数选得对,训练能快一半。 ReLU 是默认选择,GELU 是现代Transformer常用。
  2. BatchNorm 几乎是训练深网的标配,尤其在卷积网络中。
  3. 初始化决定第一步是否能走对方向。 不恰当初始化会让优化器“找不到梯度”。
  4. 正则化与数据增强相辅相成。 不要迷信 Dropout,它不是万灵药。
  5. 学习率调度与优化算法配合使用,往往比单独换优化器更有效。

九、结语

到这里,我们已经从理论走到了实践。 从神经元与前向传播,到反向传播、优化算法,再到这篇的激活函数、BN、Dropout 与初始化, 这条路径基本覆盖了深度学习训练中最核心的“通用底层知识”。

深度学习并不神秘,它只是大规模的数值优化与经验工程的结合。 当你理解了梯度的意义,掌握了训练稳定的技巧, 你会发现,大多数“玄学调参”其实都有可解释的逻辑。

本文参与 腾讯云自媒体同步曝光计划,分享自作者个人站点/博客。
原始发表:2025-10-13,如有侵权请联系 cloudcommunity@tencent.com 删除

本文分享自 作者个人站点/博客 前往查看

如有侵权,请联系 cloudcommunity@tencent.com 删除。

本文参与 腾讯云自媒体同步曝光计划  ,欢迎热爱写作的你一起参与!

评论
登录后参与评论
0 条评论
热度
最新
推荐阅读
目录
  • 一、前言
  • 二、激活函数:让网络真正“活”起来
    • 2.1 为什么需要激活函数
    • 2.2 常见激活函数与分析
      • (1) Sigmoid
      • (2) Tanh
      • (3) ReLU
      • (4) Leaky ReLU
      • (5) GELU(Gaussian Error Linear Unit)
    • 2.3 工程实践建议
  • 三、Batch Normalization:为训练稳定保驾护航
    • 3.1 背景问题
    • 3.2 BN 的核心思想
    • 3.3 BN 的优势
    • 3.4 实践细节
    • 3.5 BN 的推理阶段
  • 四、Dropout:主动“遗忘”以防过拟合
    • 4.1 背景
    • 4.2 思想
    • 4.3 推理阶段的处理
    • 4.4 实践建议
  • 五、权重初始化:深度学习的隐形基石
    • 5.1 为什么初始化重要
    • 5.2 常见初始化方法
      • (1) Xavier 初始化
      • (2) He 初始化
      • (3) Orthogonal 初始化
    • 5.3 实践经验
  • 六、正则化与泛化技巧
    • 6.1 L2 权重衰减
    • 6.2 数据增强
    • 6.3 Early Stopping
  • 七、学习率调度:控制收敛节奏
  • 八、综合实践经验
  • 九、结语
领券
问题归档专栏文章快讯文章归档关键词归档开发者手册归档开发者手册 Section 归档