首页
学习
活动
专区
圈层
工具
发布
首页
学习
活动
专区
圈层
工具
MCP广场
社区首页 >专栏 >深度学习入门(二)——反向传播与向量化推导

深度学习入门(二)——反向传播与向量化推导

作者头像
海棠未眠
发布2025-10-22 16:46:04
发布2025-10-22 16:46:04
3000
代码可运行
举报
运行总次数:0
代码可运行

一、前言:梯度从哪来?

在第一篇里,我们讲过神经元和前向传播。 我们知道一个神经网络的基本结构:输入经过层层加权求和、非线性激活,最后得到输出。 接着通过损失函数计算误差。

但在实际训练时,模型不是“知道答案”的。 它只能根据输出和真实标签之间的**误差(Loss)**来判断:我做得对不对。 问题是,它该如何知道“哪里错了、错了多少、怎么改”?

答案就是:反向传播(Backpropagation)

反向传播的作用是:

告诉每个参数该往哪个方向调、调多少,才能让整体误差下降。

这就是神经网络能够自我学习的关键机制。 而实现这一点的基础,就是梯度


二、梯度的本质:变化的方向

我们先不急着讲复杂公式,先回到一个直觉问题: 当我们说“一个函数的梯度”时,它到底是什么?

在一维情况下,函数 f(x)f(x)f(x) 的梯度其实就是导数 f′(x)f'(x)f′(x),代表斜率。 如果 f′(x)>0f'(x) > 0f′(x)>0,我们要让函数变小,就往反方向(负方向)走一点。 这就是最朴素的梯度下降法。

在多维情况下,梯度就是偏导数的向量:

它指向函数增大的最快方向。 所以想让函数减小,就朝反方向走。

在神经网络中,每个参数 www 都参与损失的计算。 反向传播要做的,就是求出每个 www 对整体损失 LLL 的偏导数 ∂L∂w\frac{\partial L}{\partial w}∂w∂L​。

如果你能算出这个梯度,你就能训练模型。


三、前向传播回顾:信息是如何流动的

让我们先复习一个最简单的三层网络(输入层 → 隐藏层 → 输出层):

它的计算流程是:

  1. 隐藏层输入
  1. 隐藏层输出(激活)
  1. 输出层输入
  1. 输出层输出(预测)
  1. 损失函数

整个计算是从左到右的:输入 → 线性变换 → 激活 → 线性变换 → 输出。 这叫 前向传播(Forward Propagation)

但要更新参数,我们要知道“每个参数改动后,Loss 怎么变”。 也就是说,我们需要从输出往回传递“误差信息”——这就是反向传播。


四、链式法则:反向传播的核心

如果你只想记住反向传播的一句话,那就是——

反向传播 = 链式法则的系统应用。

链式法则告诉我们:如果一个变量依赖于另一个变量,那么它们的导数可以层层传递。

在神经网络中,层与层之间正好符合这种依赖关系:

因此可以通过链式法则一步步地把误差从输出层传回输入层。 每一层都只需要知道“自己输出的梯度”和“当前的局部导数”,就能求出“输入的梯度”。

这就是为什么反向传播算法能在复杂的多层结构中高效传播梯度。


五、反向传播的推导:一层一层地来

我们以刚才那三层网络为例,推导每一层的梯度。

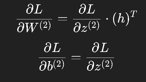
1. 输出层

损失函数 LLL 对输出 y^\hat{y}y^​ 的导数:

比如使用平方误差损失:

再往前一层:

因为

然后对参数求导:

再往前传:


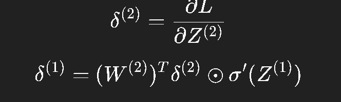
2. 隐藏层

隐藏层的输出

其中 “⊙\odot⊙” 表示元素级乘法。

然后:

这就完成了从输出层到输入层的一次完整反向传播。


六、伪代码演示:一步步实现 BP 算法

我们可以把上面的推导写成伪代码:

代码语言:javascript
代码运行次数:0
运行
复制
# 前向传播
z1 = W1 @ x + b1
h = sigmoid(z1)
z2 = W2 @ h + b2
y_hat = z2  # 假设线性输出
loss = 0.5 * (y_hat - y)**2

# 反向传播
dL_dyhat = y_hat - y
dL_dz2 = dL_dyhat * 1.0           # 因为 y_hat = z2
dL_dW2 = dL_dz2 @ h.T
dL_db2 = dL_dz2
dL_dh = W2.T @ dL_dz2
dL_dz1 = dL_dh * h * (1 - h)
dL_dW1 = dL_dz1 @ x.T
dL_db1 = dL_dz1

# 参数更新
W1 -= lr * dL_dW1
b1 -= lr * dL_db1
W2 -= lr * dL_dW2
b2 -= lr * dL_db2

这个过程本质上就是矩阵形式的链式法则。 每一层只需要知道“上层传来的梯度”,再乘上本层的导数,就能求得自己的梯度。


七、向量化思想:从标量推导到矩阵运算

在上面的推导中,如果你仔细看,会发现每个变量其实都可以是向量或矩阵。 这就是**向量化(Vectorization)**的意义。

为什么要向量化?

因为在深度学习中,数据往往是批量的。 我们不可能一个样本一个样本地算梯度,否则计算效率太低。 GPU 的强大之处就是能同时对成千上万个样本做矩阵运算。

比如批量大小为 BBB,输入维度为 nnn,那么:

则整个前向传播可以写成:

反向传播同样用矩阵表示:

其中:

这种表示方式非常紧凑,而且与现代深度学习框架(如 PyTorch、TensorFlow)的实现完全一致。


八、数值稳定性与梯度爆炸/消失

理解反向传播的过程中,你可能听过两个著名的问题: 梯度消失(Vanishing Gradient)梯度爆炸(Exploding Gradient)

它们都与链式法则的“乘法效应”有关。

假设网络有很多层,每一层都有导数

。 那么梯度传回输入层时是这些导数的连乘积:

如果这些导数平均小于 1(如 sigmoid),那么乘积会迅速趋近 0,导致梯度几乎消失。 如果大于 1,则可能迅速膨胀,导致梯度爆炸。

这两个问题都会让训练变得极不稳定。

常见的解决办法包括:

  • 使用 ReLU 激活(避免梯度饱和);
  • 使用合适的权重初始化(如 Xavier、He 初始化);
  • 对梯度进行裁剪(gradient clipping)。

九、从理论到工程:反向传播是如何实现的?

在框架层面,反向传播是通过**计算图(Computational Graph)**自动完成的。

简单来说,框架在前向传播时会记录每个操作的输入、输出和导数规则; 然后在反向阶段,根据依赖关系自动应用链式法则。

伪代码大概这样:

代码语言:javascript
代码运行次数:0
运行
复制
# 自动求导的基本逻辑
def backward(node):
    if node.grad is None:
        node.grad = 0
    for parent, local_grad in node.dependencies:
        parent.grad += node.grad * local_grad
        backward(parent)

这就是 PyTorch 的 autograd 机制背后的核心思想。 因此我们在写网络时不需要手动写出每一层的导数,框架会帮我们自动完成。


十、总结:反向传播是一种思维方式

反向传播并不是一个“复杂的算法”,而是一种计算思想

它告诉我们:

  • 当一个系统由层层可导函数组成时,我们可以用链式法则逐层传播信息;
  • 每一层都只需要知道局部导数,不需要全局信息;
  • 当所有层的梯度都算完,整个系统就能自动调整。

这其实是一种极具启发性的“分治思想”: 复杂问题被拆成简单模块,每个模块只需关心输入与输出之间的关系。 这种设计哲学贯穿了整个深度学习体系。


十一、结语:梯度之后,才是优化的开始

反向传播让我们“能”训练神经网络, 但它本身不决定“训得好不好”。 真正决定学习速度和效果的,是我们下一篇要讲的内容——优化算法

它们回答的是另一个更深的问题:

“既然我们知道了梯度,那应该怎么走,才能最快、最稳地到达最优点?”

下一篇预告:

深度学习入门(三)——优化算法与实战技巧 我们将从最基础的梯度下降讲起,一步步理解动量、RMSProp、Adam 等优化算法的内在逻辑与工程细节。

本文参与 腾讯云自媒体同步曝光计划,分享自作者个人站点/博客。
原始发表:2025-10-22,如有侵权请联系 cloudcommunity@tencent.com 删除

本文分享自 作者个人站点/博客 前往查看

如有侵权,请联系 cloudcommunity@tencent.com 删除。

本文参与 腾讯云自媒体同步曝光计划  ,欢迎热爱写作的你一起参与!

评论
登录后参与评论
0 条评论
热度
最新
推荐阅读
目录
  • 一、前言:梯度从哪来?
  • 二、梯度的本质:变化的方向
  • 三、前向传播回顾:信息是如何流动的
  • 四、链式法则:反向传播的核心
  • 五、反向传播的推导:一层一层地来
    • 1. 输出层
    • 2. 隐藏层
  • 六、伪代码演示:一步步实现 BP 算法
  • 七、向量化思想:从标量推导到矩阵运算
  • 八、数值稳定性与梯度爆炸/消失
  • 九、从理论到工程:反向传播是如何实现的?
  • 十、总结:反向传播是一种思维方式
  • 十一、结语:梯度之后,才是优化的开始
领券
问题归档专栏文章快讯文章归档关键词归档开发者手册归档开发者手册 Section 归档