SVD将一个复杂的矩阵变换分解为旋转-拉伸-旋转三个基本操作,提供了关于矩阵秩、四大子空间和最佳低秩近似的完整信息。其推导基于对称矩阵的特征分解,具有坚实的数学基础,可以说是线性代数中最重要、最优雅的分解之一,它提供了理解矩阵基本结构的一个强大框架。
先抛开数学公式,从几何角度来感受SVD,想象一个矩阵 A 作为一个线性变换,将一个空间中的向量(例如单位圆)映射到另一个空间(例如一个椭圆)。
SVD的核心思想是:任何矩阵的线性变换效果,都可以被分解为三个简单的基本变换:
各变换解释: 假设一个 2x2 矩阵 A,对单位圆上所有的点进行变换,使得单位圆最终变成一个椭圆,SVD揭示了一个矩阵的“本质”的拉伸方向和强度,而撇开了旋转的影响。
数学定义 对于任意一个 m × n 的实数矩阵 A,其奇异值分解为:

其中:

数学推导 SVD可以被看作是特征分解在任意矩阵上的推广,特征分解只适用于方阵,而SVD适用于任何矩阵。
对于一个 m × n 的实数矩阵 A,其转置Aᵀ为一个n × m的实数矩阵,考虑 AᵀA 和 AAᵀ两个实对称方阵(并且是半正定的),其中
根据实对称矩阵的性质,AᵀA 和 AAᵀ 都可以被正交对角化:

从下面的推导可以得出结论是:AᵀA 和 AAᵀ 拥有相同的非零特征值。 假设 λ 是 AᵀA 的一个特征值,v 是其对应的特征向量,那么:

这说明 λ 也是 AAᵀ 的特征值,而其对应的特征向量是 A v(需要归一化)。

从 AᵀA 的特征分解中得到 V 和奇异值 (Σ 的对角元素)。
左奇异向量 U 可以通过 ui=(1/σi)∗Avi 来计算(对于所有 σ_i > 0 的项),对于 σ_i = 0 的项,U 的剩余列可以任意扩充为一组标准正交基。
降维与矩阵的真正秩 SVD特性之一是它可以可靠地确定矩阵的秩,数值计算中,由于浮点数精度问题,判断一个矩阵的秩是很困难的(某个特征值到底是0还是1e-15?)。

最佳低秩逼近 这是SVD的一个极其重要的应用。如果我们想用一个秩为 k(k < r)的矩阵 A_k 来近似原始矩阵 A,那么在弗罗贝尼乌斯范数(Frobenius norm)和谱范数(spectral norm)意义下的最佳近似是:

也就是说,我们只需保留前 k 个最大的奇异值及其对应的奇异向量,丢弃那些不重要的(小的)奇异值分量。这构成了数据压缩、降维和去噪的数学基础。


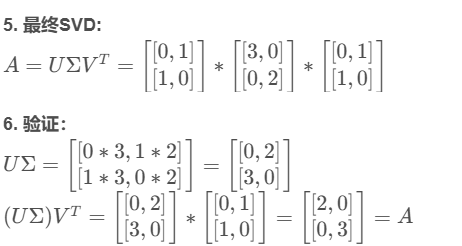
验证成功!
这个例子很简单,但展示了SVD的组成部分, 对于非对角矩阵,计算过程更复杂,但原理相同。