周末和小伙伴们随便聊聊。
语言模型(Language Model, LM)是自然语言处理(NLP)领域的核心技术之一。简单来说,它是一个可以预测单词(或字符)序列概率的模型。
想象一个“文字接龙”游戏:
此时,语言模型就会分析整个输入序列“今天天气很____”,然后计算在无数可能接在“很”后面的词语中(如:好、晴朗、热、冷、糟糕、蓝、不错、舒服...),哪个词出现的概率最高。这个概率是基于其在训练数据中学到的规律(比如,“今天天气很好”比“今天天气很苹果”出现的频率高得多,最后输出一个预测,比如最可能出现的下一个词是:好。
简单来说,语言模型的核心功能是:
先来了解一个最经典也最简单的语言建模。
比如我现在有如下一段话:
今天晚上我想吃___
后面该如何跟呢?
我们可以建立一个简单的数学模型:
根据这样一个简单的模型,我们就可以根据上文,预测出下文的字符,并最终得到完整的语句出现概率。
假设我们现在填空有三个不同的选项,分别是:
再假设 牛、菜、臊三个字的自然分布概率分别为 0.0008、0.0003、以及0.0005。
什么是文字的自然分布概率? 文字的自然分布概率指单个文字在大型真实语料库(如新闻、书籍、网页文本等)中出现的频率统计,即: P(c)=语料中所有汉字的总出现次数/汉字 c 在语料中出现的次数 例如,“的”字在中文中出现频率极高(约4%),而“龘”字极低(<0.0001%)。
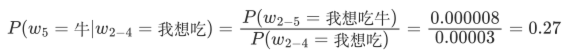
那么今晚我想吃___后面就紧跟 牛 吗?因为牛字的概率最高!
并非如此。
在计算后面跟什么字的时候,我们需要依赖当前上下文,在此前提条件下,计算空格处出现每个字的概率,这样我们可以得到一个条件概率公式:

通过条件概率分别计算出 牛、菜以及臊的概率,并追加到文本后面。
循环计算,直到得出完整句子。
N-gram 模型是一种基于统计的语言模型,通过分析文本中连续出现的 N 个词(或字符)的分布规律来捕捉语言的局部统计特征。其核心思想是马尔可夫假设:当前词的出现概率仅依赖于前 N-1 个词。
一般来说,N-gram:由 N 个连续词组成的序列。例如:
N-gram 模型简化了第一小节的语言模型,第一小节的语言模型在计算时,当句子非常长的时候,会导致计算变得异常复杂,而 N-gram 则在一定程度上简化了计算。
N-gram 模型的数学基础如下:

例如,句子“我爱自然语言”的Bigram概率为:

如果利用 N-gram 计算第一小节的问题,那么我们可以省去 今晚 两个字,而直接基于“我想吃”三个字去推断后面的内容。
那么最终得到的公式类似下面这样:

上面这个公式算到最后会有一个问题。就是越算值越无限接近于零,最终可能会计算越界。
语言模型的 Log 化(Logarithmic Transformation)是将概率计算转换为对数空间的核心技术,主要用于解决概率连乘的数值计算问题。
语言模型计算句子概率时需连乘多个条件概率,例如前面的 N-gram 模型:

这个数学公式会有什么问题呢?
log 化就是对概率取自然对数。

这样转换之后,有三个优势:
接下来松哥通过一个简单的例子来说明 log 函数的应用。
假设现在有如下任务:
检测句子 他的性恪温和 并纠错(正确应为性格)。
Log 化前:

现在的问题是: 在乘法中易丢失精度。
Log 化后:
性格
性恪
这样一来,计算的差值从 0.0056 放大为 -5.19 vs -16.34,模型可明确选择性格。
简单来说,Log 化是语言模型的计算基石,通过:
在输入法、机器翻译、语音识别等场景中,只要涉及概率比较或长序列生成,Log 化都是不可或缺的工程手段。