首页
学习
活动
专区
圈层
工具
发布
首页
学习
活动
专区
圈层
工具
MCP广场
社区首页 >专栏 >深度学习优化算法深入分析:从 SGD 到 LAMB

深度学习优化算法深入分析:从 SGD 到 LAMB

作者头像
海棠未眠
发布2025-10-22 16:48:55
发布2025-10-22 16:48:55
3000
代码可运行
举报
运行总次数:0
代码可运行

(深度学习入门·进阶篇)

一、前言

在深度学习训练的世界里,优化算法 是模型能否成功学习的核心。 神经网络的本质,是一个巨大的参数空间搜索问题。我们希望找到那组参数,使得模型在训练集与验证集上都能尽可能地拟合数据,同时保持良好的泛化能力。

优化算法的任务,就是在高维非凸空间中,引导模型的参数逐步收敛到一个合理的点。 这听起来抽象,但可以这样理解: 模型训练就像在一座山谷中行走,我们想找到最低点。每一次迭代,就是在地形上迈出一步。优化算法的不同之处在于,它决定了——

“往哪个方向走、走多远、是否该加速、是否该减速、是否该暂缓片刻”。

本篇文章,我们将系统地梳理从 SGD(随机梯度下降)LAMB(Layer-wise Adaptive Moments optimizer for Batching training) 的演化脉络, 并以实际训练经验为落脚点,深入分析它们的数学原理、直觉理解、伪代码结构与适用场景


二、SGD:最基础也最重要的优化器

2.1 基本思想

最早的优化算法源于梯度下降(Gradient Descent),核心思想非常简单:

其中:

  • θt\theta_tθt​:当前参数;
  • η\etaη:学习率;
  • ∇θL(θt)\nabla_\theta L(\theta_t)∇θ​L(θt​):当前参数下的损失函数梯度。

梯度告诉我们“往哪个方向上升最快”,所以我们反方向更新参数,让损失下降。

然而,在深度学习中,数据量巨大,无法每次都计算全量梯度。于是我们引入“随机性”: SGD(Stochastic Gradient Descent,随机梯度下降) 每次仅取一个小批次(batch)来估计梯度。

更新公式变为:

这种方法简单、高效,但也存在两个显著问题:

  1. 噪声大:由于每次只用部分样本,梯度方向带有随机性;
  2. 收敛慢:在损失面复杂的情况下,容易“抖动”或陷入局部低谷。

2.2 伪代码实现(SGD)
代码语言:javascript
代码运行次数:0
运行
复制
# Pseudocode: Simple SGD
initialize parameters θ randomly
for epoch in range(EPOCHS):
    for batch in data_loader:
        grad = compute_gradient(Loss, θ, batch)
        θ = θ - lr * grad

这段伪代码几乎是所有优化算法的骨架。接下来我们在此基础上,逐步引入各种改进。


三、Momentum:让优化不再“颤抖”

SGD 在陡峭或狭长的损失面上会剧烈震荡。为了解决这个问题,人们引入了动量(Momentum) 概念。

3.1 思路来源

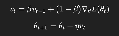
物理直觉上,一个物体在斜坡上滚动时,速度不会突然变成 0,它会保留之前的动量。 在优化中,我们希望让参数更新“具有惯性”,不要每次都完全依赖当前梯度。

公式:

其中:

  • vtv_tvt​:动量项,代表梯度的“历史平均”;
  • β\betaβ:动量衰减系数(常取 0.9)。
3.2 效果
  • 在平缓方向上,动量叠加能加速收敛
  • 在震荡方向上,正负梯度相互抵消,抑制抖动

可以把 Momentum 看作是在 SGD 的基础上加了“惯性系统”。


3.3 伪代码实现(Momentum SGD)
代码语言:javascript
代码运行次数:0
运行
复制
v = 0
for batch in data_loader:
    grad = compute_gradient(Loss, θ, batch)
    v = beta * v + (1 - beta) * grad
    θ = θ - lr * v

动量的引入,让训练更加平滑,但它仍然无法适应不同参数尺度的差异。 这引出了下一位主角——AdaGrad


四、AdaGrad:自适应学习率的启示

4.1 动机

SGD 和 Momentum 的学习率 η\etaη 是固定的,这导致:

  • 参数变化大的维度,更新过快;
  • 参数变化小的维度,更新过慢。

于是,AdaGrad 提出:为每个参数引入独立的学习率,并根据历史梯度自动调整。

4.2 更新公式

其中:

  • rtr_trt​ 是梯度平方的累积和;
  • 分母越大,说明该参数的梯度经常很大,于是自动降低学习率。
4.3 伪代码实现(AdaGrad)
代码语言:javascript
代码运行次数:0
运行
复制
r = 0
for batch in data_loader:
    grad = compute_gradient(Loss, θ, batch)
    r += grad ** 2
    θ -= lr / (sqrt(r) + eps) * grad
4.4 问题与改进方向

AdaGrad 的核心问题是:学习率会不断衰减,最终几乎停止更新。

为了克服这一点,后来出现了 RMSProp。


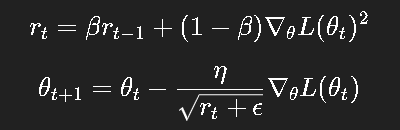
五、RMSProp:平衡记忆与遗忘

RMSProp(Root Mean Square Propagation)通过指数加权移动平均取代累积和, 让优化器既能记住近期梯度信息,又能逐渐忘记久远的梯度。

5.1 更新公式

这就像 AdaGrad 的“滑动窗口版本”,不再让学习率无限衰减。

5.2 实践意义
  • 对非平稳目标函数表现良好;
  • 更适用于深度神经网络;
  • 被许多框架(如 TensorFlow)设为默认优化器之一。

六、Adam:实用主义的胜利

2014 年,Kingma 和 Ba 发布了著名的论文《Adam: A Method for Stochastic Optimization》, 该算法几乎成为深度学习的默认选择。

Adam 综合了 MomentumRMSProp 的优点: 既保留一阶矩(动量),又保存二阶矩(平方梯度均值)。

6.1 更新公式

其中:

  • mtm_tmt​:一阶动量;
  • vtv_tvt​:二阶动量;
  • mt^,vt^\hat{m_t}, \hat{v_t}mt​^​,vt​^​:偏差修正版本(用于抵消初始化偏差)。
6.2 Adam 的特性
  • 自动调节学习率;
  • 训练收敛快;
  • 对超参数不敏感(通常 β1=0.9,β2=0.999\beta_1=0.9, \beta_2=0.999β1​=0.9,β2​=0.999)。

6.3 伪代码实现(Adam)
代码语言:javascript
代码运行次数:0
运行
复制
m, v = 0, 0
for t, batch in enumerate(data_loader, 1):
    grad = compute_gradient(Loss, θ, batch)
    m = beta1 * m + (1 - beta1) * grad
    v = beta2 * v + (1 - beta2) * (grad ** 2)

    m_hat = m / (1 - beta1 ** t)
    v_hat = v / (1 - beta2 ** t)

    θ -= lr * m_hat / (sqrt(v_hat) + eps)

七、AdamW 与 LAMB:大模型时代的优化进化

7.1 AdamW:权重衰减的正确打开方式

在常规 Adam 中,使用 weight_decay 通常等价于给参数添加 L2 正则项。 然而,由于 Adam 有自适应学习率,这种正则化方式会被扭曲。

AdamW(Loshchilov & Hutter, 2017)提出了更合理的权重衰减:

即在梯度更新后直接进行权重衰减,从而保持优化与正则化的独立性。 这使得 AdamW 成为 Transformer、BERT 等模型训练的标准选择。


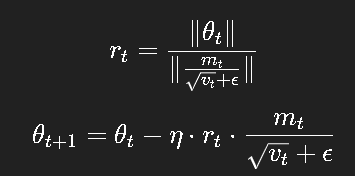
7.2 LAMB:为大批量训练而生

随着 BERT、GPT 等超大模型的出现,单机显然无法容纳庞大的 batch。 当批次过大时,Adam 的梯度更新方向会被“稀释”,学习率调整失效。

LAMB(Layer-wise Adaptive Moments optimizer for Batch training) 在 Adam 的基础上,对每一层引入了自适应的归一化因子

这样,每层都能根据自身权重尺度,动态控制更新步幅。 实践表明,LAMB 在大规模并行训练中显著提升了收敛稳定性。


八、实践经验与调参建议

  1. SGD + Momentum
    • 推荐用于卷积网络(如 ResNet)。
    • 学习率通常较大(0.1 左右),配合学习率衰减。
  2. Adam / AdamW
    • 推荐用于 Transformer、NLP 模型。
    • 默认参数一般就能收敛;但若过拟合,考虑增大 weight decay。
  3. RMSProp
    • 适用于 RNN 或非平稳任务。
    • 与 Adam 相比收敛略慢,但噪声较小。
  4. LAMB / LARS
    • 用于大规模训练(batch ≥ 8192)。
    • 可线性增大学习率以匹配批次扩展。

九、结语

优化算法的历史,其实就是“在噪声与速度之间找平衡”的历史。 从最初的 SGD 到如今的大模型优化器,人们不断地在权衡“收敛稳定性、泛化能力与训练效率”。

没有一种优化器是万能的。 真正的关键是:理解算法背后的思想,知道它“为什么能收敛”、“何时可能失效”, 并在具体任务中灵活选择。

本文参与 腾讯云自媒体同步曝光计划,分享自作者个人站点/博客。
原始发表:2025-10-22,如有侵权请联系 cloudcommunity@tencent.com 删除

本文分享自 作者个人站点/博客 前往查看

如有侵权,请联系 cloudcommunity@tencent.com 删除。

本文参与 腾讯云自媒体同步曝光计划  ,欢迎热爱写作的你一起参与!

评论
登录后参与评论
0 条评论
热度
最新
推荐阅读
目录
  • 一、前言
  • 二、SGD:最基础也最重要的优化器
    • 2.1 基本思想
    • 2.2 伪代码实现(SGD)
  • 三、Momentum:让优化不再“颤抖”
    • 3.1 思路来源
    • 3.2 效果
    • 3.3 伪代码实现(Momentum SGD)
  • 四、AdaGrad:自适应学习率的启示
    • 4.1 动机
    • 4.2 更新公式
    • 4.3 伪代码实现(AdaGrad)
    • 4.4 问题与改进方向
  • 五、RMSProp:平衡记忆与遗忘
    • 5.1 更新公式
    • 5.2 实践意义
  • 六、Adam:实用主义的胜利
    • 6.1 更新公式
    • 6.2 Adam 的特性
    • 6.3 伪代码实现(Adam)
  • 七、AdamW 与 LAMB:大模型时代的优化进化
    • 7.1 AdamW:权重衰减的正确打开方式
    • 7.2 LAMB:为大批量训练而生
  • 八、实践经验与调参建议
  • 九、结语
领券
问题归档专栏文章快讯文章归档关键词归档开发者手册归档开发者手册 Section 归档